next up previous [pdf]

Next: About this document ... Up: Biondi: Wave-equation MVA Previous: APPENDIX A

Details of gradient computation

In this appendix I present the analytical development needed to compute all the terms in equation 16. Equations 14 and 15 provide the expression for computing the derivatives of the moveout parameters with respect to slowness as:

$\displaystyle \left. \frac {\partial {\boldsymbol \mu}_{\vec x}} {\partial {\bf...
...ar{{\boldsymbol \mu}}_{\vec x}}, {{\bf I}_{\gamma }} \right\rangle_{\gamma } },$ (A-1)

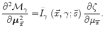
where the elements of the matrix $ \frac
{\partial \mathcal M_{\gamma }}
{\partial {\boldsymbol \mu}_{\vec x}}$ are computed using either equation 9 or equation 11, and the elements of the matrix $ \frac
{\partial^2 \mathcal M_{\gamma }}
{\partial {\boldsymbol \mu}_{\vec x}^2}$ are given by

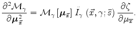
$\displaystyle \frac {\partial^2 \mathcal M_{\gamma }} {\partial {\boldsymbol \m...
...{\bar {\bf {s}}}\right) \frac{\partial {\zeta}}{\partial {\mu}_{\overline{x}}}.$    

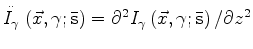
In this last expression $ {
\stackrel{..}{I_{\gamma }}\left(\vec x,\gamma ;{\bar {\bf {s}}}\right)
}=
\partial^2
I_{\gamma }\left(\vec x,\gamma ;{\bar {\bf {s}}}\right)
/
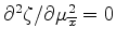
\partial z^2$ . Given the moveout parametrization expressed in 7, $ {\partial^2 {\zeta}}/{\partial {\mu}_{\overline{x}}^2}=0$ and the previous expression simplifies into the following:

$\displaystyle {\frac {\partial^2 \mathcal M_{\gamma }} {\partial {\boldsymbol \...
...\gamma ;\bar {s}\right) \frac{\partial {\zeta}}{\partial {\mu}_{\overline{x}}}.$ (A-2)

Furthermore, when $ \bar{{\boldsymbol \mu}}_{\vec x}=0$ , equation A-2 further simplifies into:

$\displaystyle {\frac {\partial^2 \mathcal M_{\gamma }} {\partial {\boldsymbol \...
...\gamma ;\bar {s}\right) \frac{\partial {\zeta}}{\partial {\mu}_{\overline{x}}}.$ (A-3)

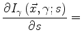
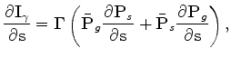
The derivative of the image vector with respect to slowness, $ {\partial{\bf I}_{\gamma }}/{\partial {\bf {s}}}$ are evaluated by applying the conventional wave-equation tomography operator that links perturbations in the slowness model to perturbations in the propagated wavefields by a first-order Born linearization of the wave equation.

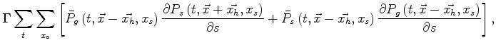
Applying the chain rule to equation 1, and taking into account the offset-to-angle transformation 2, we can write

$\displaystyle {
{\frac
{\partial
I_{\gamma }\left(\vec x,\gamma ;{s}\right)
}
{\partial {s}}}=}$
    $\displaystyle {\bf\Gamma}
\sum_{t}
\sum_{x_{s}}
\left[\bar{{P}_{g} }\left({t},\...
...l
{{P}_{g} }\left({t},\vec x-\vec{x_{h}},x_{s}\right)
}
{\partial {s}}
\right],$  
      (A-4)

where the wavefields $ \bar{{P}_{s} }$ and $ \bar{{P}_{g} }$ are computed with the background slowness, and the wavefield derivatives $ {\partial {{P}_{s} }}/
{\partial {s}}$ and $ {\partial {{P}_{g} }}/
{\partial {s}}$ are computed by the conventional adjoint-state methodology that is at the basis of full waveform inversion and wave-equation tomography.

In more compact matrix notation the previous expression can be written as

$\displaystyle {\frac {\partial{\bf I}_{\gamma }} {\partial {\bf {s}}}} = {\bf\G...
...{\bar{{\bf P}}_{s} }\frac{\partial {{\bf P}_{g} }}{\partial {\bf {s}}} \right),$ (A-5)

where the matrices $ {\bar{{\bf P}}_{s} }$ and $ {\bar{{\bf P}}_{g} }$ are composed of the wavefields for every source and depth level, and properly shifted in space by the subsurface offset. For the computation of the gradient, we need to apply the adjoint operator that is:

$\displaystyle {\frac {\partial{\bf I}_{\gamma }} {\partial {\bf {s}}}}' = \left...
...\bf P}_{g} }}{\partial {\bf {s}}}}' {\bar{{\bf P}}_{s} }' \right) {\bf\Gamma}'.$ (A-6)

Almomin and Tang (2010) present an equivalent, but different, derivation of an algorithm to compute the application of the operator $ {\frac
{\partial{\bf I}_{\gamma }}
{\partial {\bf {s}}}}$ , (or its adjoint) to a vector of slowness perturbations (or image perturbations).


next up previous [pdf]

Next: About this document ... Up: Biondi: Wave-equation MVA Previous: APPENDIX A

2010-11-26