next up previous [pdf]

Next: Derivatives of moveout parameters Up: Gradient of the objective Previous: Gradient of the objective

Derivatives of objective function ($ {J}$ ) with respect to moveout parameters ( $ {\boldsymbol \mu}_{\vec x}$ )

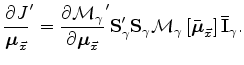
The derivatives of 4 with respect to the vector of moveout parameters is easily evaluated using the following expression:

$\displaystyle {\frac {\partial {J}} {{\boldsymbol \mu}_{\vec x}} }' = {\frac {\...
...M_{\gamma }\left[\bar{{\boldsymbol \mu}}_{\vec x}\right]{\bf\bar I_{\gamma }} .$ (A-8)

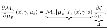
The linear operator $ {\frac {\partial \mathcal M_{\gamma }} {\partial {\boldsymbol \mu}_{\vec x}}}$ can be represented as a $ N_{\vec x}N_{\gamma }\times {N_{{\mu}}}_{{\overline{x}}}$ matrix. The elements of this matrix are given by:

$\displaystyle \frac {\partial \mathcal M_{\gamma }} {\partial {\boldsymbol \mu}...
...rm I} \underbrace{ \frac{\partial {\zeta}}{\partial {\mu_{\vec x}}} }_{\rm II}.$ (A-9)

The first term (I) is given by the depth-derivative of the image $ \partial
I_{\gamma }\left(\vec x,\gamma ;\bar {s}\right)
/
\partial
z$ after moveout. This term can be numerically evaluated by applying to the moved-out image a finite-difference approximation of the first-derivative operator. The second term (II) is different from zero only when the spatial coordinate $ \vec x$ of the image element $ I_{\gamma }\left(\vec x,\gamma \right)
$ is the same as the coordinate corresponding to the moveout parameter $ {\mu_{\vec x}}$ . When they do, and for the choice of moveout parameters expressed in equation 7, we have $ \partial {\zeta}/\partial {\mu_{\vec x}}=
\tan^2 \gamma $ .

The preceding expression simplifies when the gradient is evaluated for $ {\boldsymbol \mu}_{\vec x}=0$ . This simplifying condition is actually always fulfilled unless the optimization algorithm includes inner iterations for fitting the moveout parameters using a linearized approach. Under this condition, equation 8 becomes

$\displaystyle \left. \frac {\partial {J}} {{\boldsymbol \mu}_{\vec x}} \right\v...
... \mu}_{\vec x}=0} ' {\bf S}_{\gamma }' {\bf S}_{\gamma } {\bf\bar I_{\gamma }},$ (A-10)

and equation 9 becomes

$\displaystyle \frac {\partial \mathcal M_{\gamma }} {\partial {\boldsymbol \mu}...
... ;\bar {s}\right) \frac{\partial {\zeta}}{\partial {\boldsymbol \mu}_{\vec x}}.$ (A-11)


next up previous [pdf]

Next: Derivatives of moveout parameters Up: Gradient of the objective Previous: Gradient of the objective

2010-11-26