 |
 |
 |
 | 3D shot-profile migration in ellipsoidal coordinates |  |
![[pdf]](icons/pdf.png) |
Next: Impulse Response Tests
Up: 3D Implicit Finite-difference Propagation
Previous: 3D Implicit Finite-difference Propagation
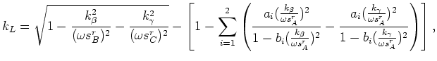
Using the 4th-order approximation is equivalent to solving a cascade
of partial differential equations (, )
We solve these equations implicitly at each
extrapolation step
by a finite-difference splitting method that alternately
advances the wavefield in the
and
directions.
Splitting methods allow us to apply the
and
scaling factors
directly by introducing rescaled effective slowness models:
and
.
One drawback to splitting methods is that they generate numerical
anisotropy. To minimize these effects, we apply a Fourier-domain phase-correction
filter (, )
 |
(A-14) |
where
![$\displaystyle k_L = \sqrt{ 1-\frac{k_\beta^2}{(\omega s_B^r)^2} -\frac{k_\gamma...
...a}{\omega s_A^r})^2}{1-b_i ( \frac{k_\gamma}{\omega s_A^r})^2} \right) \right],$](img84.png) |
(A-15) |
and
and
are reference slownesses chosen to be the
mean value of
and
defined above.
 |
 |
 |
 | 3D shot-profile migration in ellipsoidal coordinates |  |
![[pdf]](icons/pdf.png) |
Next: Impulse Response Tests
Up: 3D Implicit Finite-difference Propagation
Previous: 3D Implicit Finite-difference Propagation
2009-04-13