next up previous [pdf]

Next: Compact form for Up: Berryman: Extended Thomsen formulas Previous: THOMSEN'S WEAK ANISOTROPY FORMULATION

EXTENDED APPROXIMATIONS FOR ANISOTROPIC WAVE SPEEDS

The biggest and most obvious problem with Thomsen's approximations to the wave speeds generally occurs in $v_{sv}(\theta)$. The key issue is that Thomsen's approximation for $v_{sv}(\theta)$ is completely symmetric around $\theta = \pi/4 = 45^o$, while unfortunately this is generally not true of the actual wave speeds $v_{sv}(\theta)$. This error may seem innocuous in itself since it is not immediately clear whether it affects the results for small angles of incidence ($< 15^o$) or not, but it can in fact lead to large over- or under-estimates of wave speeds in the neighborhood of both the extreme value located at $\theta = \theta_{ex}$ and also at $\theta = 45^o \ne \theta_{ex}$. To improve this situation while still making use of a practical approximation to the wave speed, I reconsider an approach originally proposed in Berryman (1979). In particular, notice that the square root formula for $R(\theta)$ can be conveniently, and exactly, rewritten as:

\begin{displaymath}
R(\theta) = [(c_{11}-c_{44})\sin^2\theta + (c_{33}-c_{44})\cos^2\theta]
\sqrt{1-\zeta(\theta)},
\end{displaymath} (A-1)

where
\begin{displaymath}
\zeta(\theta) \equiv
4\frac{[(c_{11}-c_{44})(c_{33}-c_{44}) ...
..._{11}-c_{44})\sin^2\theta
+ (c_{33}-c_{44})\cos^2\theta]^2}.
\end{displaymath} (A-1)

To simplify this expression, first notice that $\zeta$ has an absolute maximum value, which occurs when $\theta$ takes the value $\theta_m$ determined by
\begin{displaymath}
\tan^2\theta_m = \frac{c_{33}-c_{44}}{c_{11}-c_{44}}.
\end{displaymath} (A-1)

The extreme value of $\zeta$ is given by

\begin{displaymath}
\zeta_m = 1 - \frac{(c_{13}+c_{44})^2}{(c_{11}-c_{44})(c_{33...
...epsilon - \delta)v_p^2(0)}{v_p^2(0)(1+2\epsilon) - v_s^2(0)},
\end{displaymath} (A-1)

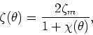
where the second and third expressions relate $\zeta_m$ to the difference between the Thomsen parameters $\epsilon$ and $\delta$, and to $v_p(0)$ and $v_s(0)$. Then, $\zeta(\theta)$ can be rewritten as
\begin{displaymath}
\zeta(\theta) = \frac{2\zeta_m}{1 + \chi(\theta)},
\end{displaymath} (A-1)

where
\begin{displaymath}
\chi(\theta) = \frac{1}{2}\left[\frac{\tan^2\theta}{\tan^2\theta_m}
+\frac{\tan^2\theta_m}{\tan^2\theta}\right].
\end{displaymath} (A-1)

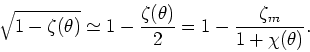
For realistic systems, it is always true that $\zeta(\theta) \le 1$. [For example, in the fractured reservoir examples presented later in the paper, the largest observed value of $\zeta_m \simeq 0.29$. Also, note $\zeta_m \ge 0$ for all layered media since $\epsilon - \delta \ge 0$ for layered elastic media (Postma, 1955; Backus, 1962; Berryman, 1979).] So, we can expand the square root in equation 11, keeping only its first order Taylor series correction, which is

\begin{displaymath}
\sqrt{1-\zeta(\theta)} \simeq 1 - \frac{\zeta(\theta)}{2}
= 1 - \frac{\zeta_m}{1+\chi(\theta)}.
\end{displaymath} (A-1)

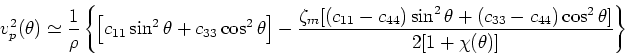
Results for $v_p(\theta)$ and $v_{sv}(\theta)$ then become:
\begin{displaymath}
v_p^2(\theta) \simeq \frac{1}{\rho}\left\{\left[c_{11}\sin^2...
...a + (c_{33}-c_{44})\cos^2\theta]}
{2[1+\chi(\theta)]}\right\}
\end{displaymath} (A-1)

and
\begin{displaymath}
v_{sv}^2(\theta) \simeq \frac{1}{\rho}\left\{c_{44}
+ \frac{...
...a +
(c_{33}-c_{44})\cos^2\theta]}{2[1+\chi(\theta)]}\right\}.
\end{displaymath} (A-1)

Note that the only approximation made in arriving at equations 18 and 19 again was the approximation of the square root via equation 17.

Clearly, the analysis is not really restricted in any way to using just the first order Taylor approximation in equation 17. For example, other authors (Fowler, 2003; Pederson et al., 2007) have explored rational approximations to such square roots at length. These approaches can certainly be useful in many applications as they provide higher order approximations (not necessarily just first and second order Taylor contributions), while avoiding the computational complexity of the square root operation. Nevertheless, such efforts are beyond our current scope and so will not be discussed further here.



Subsections
next up previous [pdf]

Next: Compact form for Up: Berryman: Extended Thomsen formulas Previous: THOMSEN'S WEAK ANISOTROPY FORMULATION

2007-09-15