next up previous [pdf]

Next: Extended Thomsen formulas Up: EXTENDED APPROXIMATIONS FOR ANISOTROPIC Previous: EXTENDED APPROXIMATIONS FOR ANISOTROPIC

Compact form for $\zeta(\theta)$

More progress can be made by first noting that the quantity $\frac{1}{2}[1 + \chi(\theta)]$ may be written as a perfect square:

\begin{displaymath}
\frac{1}{2}[1 + \chi(\theta)] = \frac{1}{4}\left(\frac{\tan\...
...\tan^2\theta+\tan^2\theta_m)^2}{4\tan^2\theta\tan^2\theta_m}.
\end{displaymath} (A-1)

This expression may be simplified using trigonometric identities in the following way. First multiply both the numerator and denominator of equation 20 by $\cos^4\theta\cos^4\theta_m$. The denominator of the result is then proportional to $\sin^22\theta\sin^22\theta_m$, which is a useful form that I will keep. The numerator however is now proportional to the square of
\begin{displaymath}
\cos^2\theta\cos^2\theta_m(\tan^2\theta+\tan^2\theta_m) = \s...
...heta = \frac{1}{2}\left(1 - \cos2\theta\cos2\theta_m\right),
\end{displaymath} (A-1)

which is another useful form I want to keep. Combining equations 20 and 21, the final result for $\zeta(\theta)$ is therefore
\begin{displaymath}
\zeta(\theta) =
\frac{\zeta_m\sin^22\theta_m\sin^22\theta}{\left[1-\cos2\theta_m\cos2\theta\right]^2}.
\end{displaymath} (A-1)

Equation 22 is the main technical result of this paper, and it is exact. No approximations were made in arriving at equation 22. [Remark: The only approximations made to the wave speeds anywhere in this paper involve Taylor expansions of square roots. So the first approximations made here, of the form $\sqrt{1-\zeta(\theta)} \simeq 1 - \zeta(\theta)/2$, do not depend directly on a weak anisotropy assumption, but only on the smallness of $\zeta_m$ compared to unity. However, the second ones, i.e., those removing the squares in the formulas for the velocities, do depend directly on a type of weak anisotropy assumption -- similar in spirit to Thomsen's (1986) approximations.]

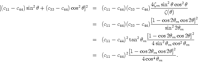
Combining equation 22 with definition 12, it can also be shown that

\begin{eqnarray*}[(c_{11}-c_{44})\sin^2\theta + (c_{33}-c_{44})\cos^2\theta]^2 &...
...{\left[1 - \cos2\theta_m\cos2\theta\right]^2}{4\cos^4\theta_m}.
\end{eqnarray*}

So it follows that
\begin{displaymath}
\sin^2\theta + \tan^2\theta_m\cos^2\theta =
\frac{\left[1 - \cos2\theta_m\cos2\theta\right]}{2\cos^2\theta_m},
\end{displaymath} (A-1)

which is another useful identity that can be checked directly.

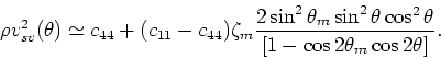
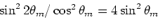
Then, making use of the identity $\sin^22\theta_m/\cos^2\theta_m = 4\sin^2\theta_m$, the speed of the quasi-SV-wave is given by

\begin{displaymath}
\rho v^2_{sv}(\theta) \simeq c_{44} + (c_{11}-c_{44})\zeta_m...
...a_m\sin^2\theta\cos^2\theta}{[1 - \cos2\theta_m\cos2\theta]}.
\end{displaymath} (A-1)

Similarly, the speed of the quasi-P-wave is given (also consistent with equation 24) by
\begin{displaymath}
\rho v_{p}^2 \simeq c_{33} + (c_{11}-c_{33})\sin^2\theta
- (...
...a_m\sin^2\theta\cos^2\theta}{[1 - \cos2\theta_m\cos2\theta]}.
\end{displaymath} (A-1)

Again, the only approximation made in these two expressions is the one due to expanding the square root in equation 17.

A tedious but straightforward calculation based on equations 2, 11, and 23 shows that the extreme value of $v_{sv}(\theta)$ -- although not exactly at $\theta = \theta_m$ -- nevertheless occurs very close to this angle. This calculation is however more technical than others presented here, so it will not be shown explicitly, but the results are confirmed later in the graphical examples. A similar result (but not identical) holds for the extended Thomsen formulas that follow.


next up previous [pdf]

Next: Extended Thomsen formulas Up: EXTENDED APPROXIMATIONS FOR ANISOTROPIC Previous: EXTENDED APPROXIMATIONS FOR ANISOTROPIC

2007-09-15