 |
 |
 |
 | Exact seismic velocities for TI media and extended Thomsen formulas for stronger anisotropies |  |
![[pdf]](icons/pdf.png) |
Next: APPENDIX B: HTI FORMULAS
Up: Berryman: Extended Thomsen formulas
Previous: ACKNOWLEDGMENTS
For purposes of comparison, it is useful to know the exact value and also some
related approximations to the exact value of the quasi-SV wave speed
at the angle
=
-- which occurs close to (but not exactly at) the extreme value of
over all angles (see discussion after equation 25 in the main text).
Evaluation gives the exact result
![\begin{displaymath}
v_{sv}^2(\theta_m) = \frac{\sin^2\theta_m}{2\rho}(c_{11}-c_{...
...rac{c_{33}+c_{44}}{c_{33}-c_{44}}
- 2\sqrt{1-\zeta_m}\right].
\end{displaymath}](img196.png) |
(A-1) |
After substituting
,
expanding the square root
, and
several more steps of simplification, a useful approximate expression is
![\begin{displaymath}
v_{sv}^2(\theta_m) \simeq v^2_s(0)\left[1 + \frac{\zeta_m}{2...
...44})(c_{33}-c_{44})}{c_{44}(c_{11}+c_{33}-2c_{44})}\right].
\end{displaymath}](img199.png) |
(A-2) |
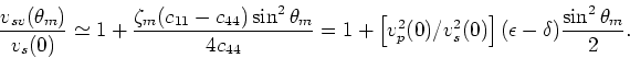
And finally, by approximating the square root of this expression and using (14), we have

\frac{\sin^2\theta_m}{2}.
\end{displaymath}](img200.png) |
(A-3) |
Equation A-3 can be directly compared to Thomsen's formula for
in equation 8.
The only difference is a factor of
in the final term.
This factor could be unity if
, but -- since this never happens for
anisotropic media -- the factor always differs from unity and can be either higher or lower
than unity depending on whether
is less than or greater than 45
.
 |
 |
 |
 | Exact seismic velocities for TI media and extended Thomsen formulas for stronger anisotropies |  |
![[pdf]](icons/pdf.png) |
Next: APPENDIX B: HTI FORMULAS
Up: Berryman: Extended Thomsen formulas
Previous: ACKNOWLEDGMENTS
2007-09-15