Next: Algorithm for Computation
Up: Shragge: Differential gridding methods
Previous: Acknowledgements
- Alkhalifah, T., 2003, Tau migration and velocity analysis: Theory and synthetic examples: Geophysics, 68, 1331-1339.
-
- Guggenheimer, H., 1977, Differential Geometry: Dover Publications, Inc., New York.
-
- Liseikin, V., 2004, A Computational Differential Geometry Approach to Grid Generation: Springer-Verlag, Berlin.
-
- Rüger, A. and D. Hale, 2006, Meshing for velocity modeling and ray tracing in complex velocity fields: Geophysics, 71, U1-U11.
-
- Sava, P. and S. Fomel, 2001, 3-D traveltime computation using Huygens wavefront tracing: Geophysics, 66, 883-889.
-
- Sava, P. and S. Fomel, 2005, Riemannian wavefield extrapolation: Geophysics, 70, T45-T56.
-
- Shragge, J. and P. Sava, 2005, Wave-equation migration from topography: 75st Ann. Internat. Mtg., SEG Technical Program Expanded Abstracts, 1842-1845.
-
- Shragge, J., 2006, Generalized riemannian wavefield extrapolation: SEP-124.
-
A
This appendix details a numerical scheme for solving the differential
gridding equations discussed in Liseikin (2004). The set of
parabolic equations to solve are,
| ![\begin{eqnarray}
\frac{ \partial s^1}{ \partial t} = D^{\xi}[s^1] + D^{\xi}[f^k]...
...1,\xi^2), & t=0 \
s^2(\xi^1,\xi^2,0) = s^2_0(\xi^1,\xi^2), & t=0\end{eqnarray}](img45.gif) |
(19) |
| (20) |
| (21) |
| (22) |
| (23) |
| (24) |
where,
| ![\begin{eqnarray}
D^{\xi}[v] = & g_{22}^{\xi} \frac{\partial^2 v}{\partial \xi^1
...
...}(\mathbf{\xi})] }{\partial \xi^j},
\quad i,j,k=1,2, \quad m=1,l.\end{eqnarray}](img38.gif) |
(25) |
| (26) |
Computational domain
is the unit square divided into N
intervals equally spaced in the
directions. The
first transformation
interrelates the known
coordinate values on boundaries of domains S2 and
,
| ![\begin{displaymath}
\Phi (\xi^j) = \left[\phi^1 (\xi^j),\phi^2 (\xi^j) \right], \quad j=1,2. \end{displaymath}](img47.gif) |
(27) |
The interior points of S2 are generated using blending functions,
, where
is linear
function defined by,
|  |
(28) |
Blended coordinates
are generated on S2 with,
| ![\begin{eqnarray}
s^{1}(\xi^{1},\xi^{2},0) = F^{1}(\xi^{1},\xi^{2})+(1-\xi^{2})
\...
...ight]+
\xi^{2} \left[\phi^{i}(\xi^{1},1)-F^{2}(\xi^{1},1) \right],\end{eqnarray}](img51.gif) |
|
| (29) |
where,
|  |
(30) |
Equations 1924 can be solved using
finite difference approximations that march forward in time. To
simplify notation coordinates s1 and s2 are redefined as u=s1
and v=s2. The
finite difference solution is split into a two-stage process along the
different coordinate axes. The first stage calculates solutions
and
for a step in the u
direction at time
using the values u0 and
v0. The second stage calculates solutions u0+1 and v0+1
for a step in the v direction at time t=0+1 using intermediate
values
and
.
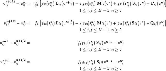
Explicitly, the four equations comprising the finite difference scheme
for unij and vnij,
on uniform grid
are,
|  |
|
| (31) |
| |
| |
| (32) |
| |
| |
| (33) |
| |
| |
| (34) |
where,
| ![\begin{eqnarray}
g_{11} \left(\mathbf{s}^n_{ij}\right)= &
\left(\frac{ u^n_{i+1...
...right]& \nonumber \
\;& k=1,l \quad \; \quad 1\le i,j \le N-1 &\end{eqnarray}](img59.gif) |
|
| (35) |
| |
| |
| |
| (36) |
| |
| |
| |
| (37) |
| |
| (38) |
| |
| (39) |
| |
| (40) |
| |
| (41) |
| |
| |
| (42) |