previous up next print clean
Next: finite difference solutions of Up: Acoustic anisotropic wave equation: Previous: Analytical solutions of the

Eikonal and transport equations

There are two ways to derive the eikonal equation from the above formulas. One way is to substitute $p_x=\frac{\partial t}{\partial x}$, $p_y=\frac{\partial t}{\partial y}$, and $p_z=\frac{\partial t}{\partial y}$ into the dispersion relation [equation (3)] directly. A second method is based on using a ray-theoretical model of the image,

\begin{displaymath}
F(x,y,z,t)= A(x,y,z) f[t-\tau(x,y,z)], \end{displaymath}

as a trial solution to equation (7). This approach yields the Eikonal equation as well as the transport equation that describes amplitude behavior, A(x,y,z), of wave propagation. Substituting the trial solution into the partial differential equation (7) and considering only the terms with the highest asymptotic order (those containing the fourth-order derivative of F), we arrive at the following eikonal equation:

   \begin{eqnarray}
{v^2}\,\left( 1 + 2\,\eta \right) \,\left({\left(\frac{\partial...
 ...\left(\frac{\partial \tau}{\partial y}\right)^2}\right) \right)=1.\end{eqnarray}

Again setting $\eta=0$ and vv=v gives the isotropic eikonal equation  
 \begin{displaymath}
{v^2}\,\left(\left(\frac{\partial \tau}{\partial x}\right)^2...
 ...)^2+
\left(\frac{\partial \tau}{\partial z}\right)^2 \right)=1.\end{displaymath} (17)
The Eikonal equation includes only the fastest arrival solution, and therefore it includes only P-wave solutions; the slower artifact solution is not given by this eikonal equation.

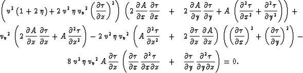
The next asymptotic order (third-order in derivatives of F) gives us a linear partial differential equation of the amplitude transport, as follows:

   \begin{eqnarray}
\left({v^2}\,\left( 1 + 2\,\eta \right) + 2\,{v^2}\,\eta \,{{{v...
 ...rtial y}\,\frac{\partial^2 \tau}{\partial y \partial z} \right)=0.\end{eqnarray}

The various derivatives of t are computed, as in the case of an isotropic medium, from the solution of the eikonal equation. Despite the apparent complexity of this transport equation, it is linear, and it is also of the first order in derivates of A. Setting $\eta=0$ and vv=v in equation (18) gives us the transport equation for isotropic media Babich and Buldyrev (1989),  
 \begin{displaymath}
2 \left(\,\frac{\partial A}{\partial x}\,\frac{\partial \tau...
 ...artial y^2} +
 \frac{\partial^2 \tau}{\partial z^2} \right) =0.\end{displaymath} (19)
As expected, computing amplitudes relies on second-order derivatives of traveltime (wavefront curvature). It is also important to keep in mind that equation (18) includes terms corresponding to cross derivates of traveltime (i.e., $\frac{\partial^2 
\tau}{\partial x \partial z}$ and $\frac{\partial^2 \tau}{\partial y \partial z}$) which result from the cross-dependent nature of anisotropy. No $\frac{\partial^2 \tau}{\partial x \partial y}$ terms are present in equation (18) because the x-y plane is isotropic.

Another method for calculating traveltimes is ray tracing. Using the method of characteristics, acoustic ray tracing equations for VTI media are derived and shown in Appendix A. Ray tracing is an additional efficient method for calculating traveltime and amplitudes based on the high-frequency approximation. Its main advantage over numerically solving the eikonal equation, is the ability to compute multiarrival traveltimes and amplitudes.


previous up next print clean
Next: finite difference solutions of Up: Acoustic anisotropic wave equation: Previous: Analytical solutions of the
Stanford Exploration Project
10/9/1997