next up previous [pdf]

Next: Converted wave reflection Up: Levin: 3D planar reflection Previous: Levin: 3D planar reflection

Introduction

For SEP-147, I calculated the response of various classic seismic algorithms on a reflection off of a plane in 3D. After wrestling with spatial geometry in old textbooks, I derived the following result from scratch using elegant, coordinate-free vector notation.

planerayfig
Figure 1.
Diagram of planar reflector and the points and vectors I use for calculating the reflected raypath.
planerayfig
[pdf] [png]

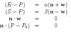
Given a source location $ S$ , a receiver location $ R$ , and a plane $ {\bf n} \cdot ( P - P_0 ) = 0$ , where $ {\bf n} $ is a unit normal, to find the reflection point $ P$ , drop a perpendicular $ {\bf w}$ from $ {\bf n} $ to the line connecting $ P$ to $ R$ . Snell's Law says that running $ {\bf w}$ in the other direction connects to the line between $ P$ and $ S$ . So for some scalars $ \alpha $ and $ \beta $ we have

\begin{displaymath}
\begin{array}{ccc}
( R - P ) & = & \alpha ( {\bf n} + {\bf w...
...bf w} & = & 0 \\
{\bf n} \cdot ( P - P_0 ) &=& 0
\end{array}.
\end{displaymath}

Dotting $ {\bf n} $ onto the first two equations gives

\begin{displaymath}
\begin{array}{ccccc}
{\bf n} \cdot ( R - P ) & = & {\bf n} \...
...- P ) & = & {\bf n} \cdot ( S - P_0 ) & = & \beta
\end{array},
\end{displaymath}

and subtracting the first two equations produces

$\displaystyle ( R - S ) = ( \alpha - \beta ) {\bf n} + ( \alpha + \beta ) {\bf w} ,
$

which can be solved directly for $ {\bf w}$ now that we have $ \alpha $ and $ \beta $ . Given this $ {\bf w}$ , the first equation immediately yields

$\displaystyle P = R - \alpha ( {\bf n} + {\bf w} ) ,
$

the desired reflection point. This can also be described in terms of the midpoint $ M$ of the source and receiver as

$\displaystyle P = M - {\scriptstyle \frac{1}{2}} ( \alpha + \beta ) {\bf n }
- { \scriptstyle \frac{1}{2} } ( \alpha - \beta ) { \bf w }$    .


next up previous [pdf]

Next: Converted wave reflection Up: Levin: 3D planar reflection Previous: Levin: 3D planar reflection

2012-10-29