next up previous [pdf]

Next: Forward and adjoint isotropic Up: Theory Previous: PZ summation

Wave mode separation and imaging

The Helmholtz separation operator is based on the assumption that any isotropic vector field can be described as a combination of a scalar and vector potential fields:

$\displaystyle \mathbf u = \nabla \Phi + \nabla \times \mathbf \Psi,$ (2)

where $ \Phi$ is the scalar potential field and $ \mathbf \Psi$ is the vector potential. $ \mathbf u$ is the elastic displacement vector wavefield. The scalar potential generates pressure waves, and the vector potential generates shear waves. Therefore, the Helmholtz method of separating the P-wave amplitude from the S-wave amplitude is to apply a divergence operator and a curl operator to the displacement field:

$\displaystyle P = \nabla \cdot \mathbf u = \nabla^2 \Phi;$ (3)

$\displaystyle \mathbf S = \nabla \times \mathbf u = -\nabla^2 \Psi.$ (4)

Equations 3 and 4 apply only for an isotropic medium. Dellinger and Etgen (1990) extend these operators for an anisotropic medium.

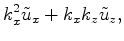
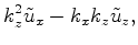
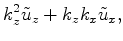
The Helmholtz separation operator is useful for distinguishing between P and S-wave amplitudes, but it is not reversible. The derivation of a reversible P-wave and S-wave displacement decomposition by Zhang and McMechan (2010) is done in the wavenumber domain. They formulate a linear equation system based on characteristics of P and S particle displacements in an isotropic elastic medium. The solutions to this linear system in a two-dimensional medium are:


$\displaystyle \tilde u^P_x$ $\displaystyle =$ $\displaystyle k^2_x \tilde u_x + k_x k_z \tilde u_z,$ (5)
$\displaystyle \tilde u^P_z$ $\displaystyle =$ $\displaystyle k^2_z \tilde u_z + k_z k_x \tilde u_x,$ (6)

and


$\displaystyle \tilde u^S_x$ $\displaystyle =$ $\displaystyle k^2_z \tilde u_x - k_x k_z \tilde u_z,$ (7)
$\displaystyle \tilde u^S_z$ $\displaystyle =$ $\displaystyle k^2_x \tilde u_z - k_z k_x \tilde u_x,$ (8)

where $ \tilde u_i$ are the spatial fourier transforms of the observed displacement fields in direction $ i$ , $ k_i$ are the wavenumbers, and $ \tilde u^P_i$ and $ \tilde u^S_i$ are the decomposed P and S displacements. It is important to note that the $ k$ in these equations is normalized by the absolute value of the wavenumber $ \left \vert \mathbf k \right \vert$ . This decomposition is reversible, since $ u_i = u^P_i + u^S_i$ .


next up previous [pdf]

Next: Forward and adjoint isotropic Up: Theory Previous: PZ summation

2012-05-10