next up previous [pdf]

Next: Regularizations Up: theory Previous: Image-domain least-squares migration

The 3-D phase-encoded Hessian

3-D conical-wave migration (Duquet et al., 2001; Whitmore, 1995; Liu et al., 2006; Zhang et al., 2005) has been widely used to migrate marine streamer data sets. In this section, we demonstrate how the Hessian can be efficiently computed in this domain using simultaneous phase encoding, which encodes both source- and receiver-side Green's functions.

As derived in Appendix A, each component of the the 3-D conical-wave domain Hessian reads

$\displaystyle H({\bf x},{\bf x}')$ $\textstyle =$ $\displaystyle \sum_{\omega} \vert\omega\vert^5\sum_{y_s} \sum_{p_{s_x}}
\sum_{{\bf x}_r} G({\bf x},{\bf x}_r,\omega) G^{*}({\bf x}',{\bf x}_r,\omega)$  
    $\displaystyle \sum_{x_s} W({\bf x}_r,x_s ,y_s) f_s (\omega) G ({\bf x} ,x_s ,y_s,\omega) {\rm e}^{ i\omega p_{s_x} x_s }$  
    $\displaystyle \sum_{x_s'} W({\bf x}_r,x_s',y_s) f_s^{*}(\omega) G^{*}({\bf x}',x_s',y_s,\omega) {\rm e}^{-i\omega p_{s_x} x_s'},$ (3)

where $f_s(\omega)$ is the source signature at frequency $\omega$; $x_s$ and $y_s$ are the source locations in the inline and crossline directions, respectively; ${\bf x}_r=(x_r,y_r,0)$ is the receiver location; $p_{s_x}$ is the horizontal component of the source ray parameter; $W({\bf x}_r,x_s,y_s)$ is the acquisition mask operator, which contains ones where we record data, and zeros where we do not; and $G({\bf x},x_s,y_s,\omega)$ and $G({\bf x},{\bf x}_r,\omega)$ are the Green's functions connecting the source and receiver positions to the image point ${\bf x}=(x,y,z)$, respectively.

The diagonal part of the Hessian (when ${\bf x}={\bf x}'$), which contains autocorrelations of both source and receiver-side Green's functions, can be interpreted as a subsurface illumination map with contributions from both sources and receivers. The rows of the Hessian (for fixed ${\bf x}$'s and varying ${\bf x}'$), which contains crosscorrelations of both source and receiver-side Green's functions, can be interpreted as resolution functions (Tang, 2009; Lecomte, 2008). They measure how much smearing an image can have due to a given acquisition setup.

The exact Hessian defined by equation 3, however, is nontrivial and very expensive to implement. It requires either storing a huge number of Green's functions for reuse, or performing a large number of wavefield propagations to repeatedly calculate the Green's functions, resulting in a computational cost proportional to $N_{y_s}N_{p_{s_x}}N_{x_r}N_{y_r}$, with $N_{y_s}$, $N_{p_{s_x}}$, $N_{x_r}$ and $N_{y_r}$ being the number of crossline shots, inline conical waves, inline receivers and crossline receivers, respectively.

In order to reduce the computational cost, we use the simultaneous phase-encoding technique to efficiently calculate an approximate version of equation 3. The simultaneous phase-encoding, however, is only strictly valid when the acquisition mask operator is independent along the encoding axes (Tang, 2009). For the 3-D conical-wave-domain Hessian, the encoding axes are the inline source axis $x_s$ and the receiver axis ${\bf x}_r=(x_r,y_r)$, respectively. Ocean-bottom cable (OBC) and land acquisition geometries, where receivers are fixed for all sources, obviously satisfy this condition. But marine-streamer acquisition geometry, where the receiver cable moves with sources, apparently does not. To make the theory applicable to the marine-streamer data case, we assume that the receiver location ${\bf x}_r$ depends only on the crossline source position $y_s$, but is independent of the inline source position $x_s$. This implicitly assumes that for a fixed crossline $y_s$, all inline shots share the same receiver array. Therefore, we can express the acquisition mask operator as a product of two separate functions:

$\displaystyle W({\bf x}_r,x_s,y_s) \approx W_r({\bf x}_r,y_s)W_s(x_s,y_s),$     (4)

where $W_r$ and $W_s$ define the distributions of receiver position ${\bf x}_r$ and the inline source position $x_s$, respectively, for a given crossline source position $y_s$.

Substituting equation 4 into equation 3 yields

$\displaystyle H({\bf x},{\bf x}')$ $\textstyle =$ $\displaystyle \sum_{\omega} \vert\omega\vert^5\sum_{y_s} \sum_{p_{s_x}}
\sum_{{...
... W_r({\bf x}_r,y_s)G({\bf x},{\bf x}_r,\omega) G^{*}({\bf x}',{\bf x}_r,\omega)$  
    $\displaystyle \sum_{x_s} W_s(x_s ,y_s) f_s (\omega) G ({\bf x} ,x_s ,y_s,\omega) {\rm e}^{ i\omega p_{s_x} x_s }$  
    $\displaystyle \sum_{x_s'} W_s(x_s',y_s) f_s^{*}(\omega) G^{*}({\bf x}',x_s',y_s,\omega) {\rm e}^{-i\omega p_{s_x} x_s'}.$ (5)

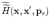
With further encoding on the receiver-side Green's functions, we obtain the simultaneously phase-encoded Hessian as follows:
$\displaystyle {\widetilde {\widetilde H}}({\bf x},{\bf x}',{\bf p}_r)$ $\textstyle =$ $\displaystyle \sum_{\omega} \vert\omega\vert^5\sum_{y_s} \sum_{p_{s_x}}$  
    $\displaystyle \times \sum_{{\bf x}_r} W_r({\bf x}_r ,y_s) G ({\bf x} ,{\bf x}_r ,\omega) \alpha({\bf x}_r ,{\bf p}_r,\omega)$  
    $\displaystyle \times \sum_{{\bf x}_r'}W_r({\bf x}_r',y_s) G^{*}({\bf x}',{\bf x}_r',\omega) \alpha({\bf x}_r',{\bf p}_r,\omega)$  
    $\displaystyle \times \sum_{x_s} W_s(x_s ,y_s) f_s (\omega) G ({\bf x} ,x_s ,y_s,\omega) {\rm e}^{ i\omega p_{s_x} x_s }$  
    $\displaystyle \times \sum_{x_s'} W_s(x_s',y_s) f_s^{*}(\omega) G^{*}({\bf x}',x_s',y_s,\omega) {\rm e}^{-i\omega p_{s_x} x_s'},$ (6)

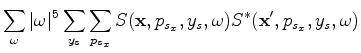
where $\alpha$ is the receiver-side encoding function, to be specified later. Equation 6 can be greatly simplified as follows:
$\displaystyle {\widetilde {\widetilde H}}({\bf x},{\bf x}',{\bf p}_r)$ $\textstyle =$ $\displaystyle \sum_{\omega} \vert\omega\vert^5\sum_{y_s} \sum_{p_{s_x}}
S({\bf x},p_{s_x},y_s,\omega)S^{*}({\bf x}',p_{s_x},y_s,\omega)$  
    $\displaystyle R({\bf x},p_{s_x},y_s,{\bf p}_r,\omega)R^{*}({\bf x}',p_{s_x},y_s,{\bf p}_r,\omega),$ (7)

if we define
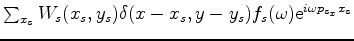
$\displaystyle S({\bf x},p_{s_x},y_s,\omega) = \sum_{x_s}W_s(x_s ,y_s) f_s(\omega) G({\bf x}, x_s, y_s,\omega) {\rm e}^{ i\omega p_{s_x} x_s},$     (8)

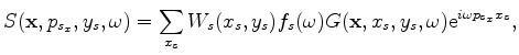
and
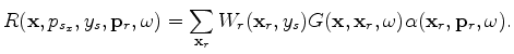
$\displaystyle R({\bf x},p_{s_x},y_s,{\bf p}_r,\omega) = \sum_{{\bf x}_r} W_r({\bf x}_r ,y_s) G({\bf x},{\bf x}_r ,\omega) \alpha({\bf x}_r ,{\bf p}_r,\omega).$     (9)

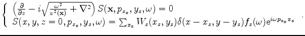
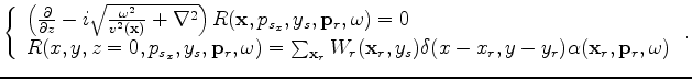
For one-way wave-equation-based applications, $S$ and $R$ can be obtained by solving the following one-way wave equations:
$\displaystyle \left\{ \begin{array}{l}
\left( \frac{\partial}{\partial z}-i\sqr...
...lta(x-x_s,y-y_s)f_s(\omega){\rm e}^{ i\omega p_{s_x} x_s } \end{array} \right..$     (10)

and
$\displaystyle \left\{ \begin{array}{l}
\left( \frac{\partial}{\partial z}-i\sqr...
...,y_s)\delta(x-x_r,y-y_r)\alpha({\bf x}_r,{\bf p}_r,\omega) \end{array} \right..$     (11)

In both equations 10 and 11, $v({\bf x})$ is the velocity at image point ${\bf x}$, $\nabla^2=\frac{\partial^2}{\partial x^2}+\frac{\partial^2}{\partial y^2}$ is the Laplacian operator, and $\delta(\cdot)$ is the Dirac delta function. Therefore, $S$ is the wavefield generated by propagating the conical-wave source $\sum_{x_s} W_s(x_s,y_s)\delta(x-x_s,y-y_s)f_s(\omega){\rm e}^{ i\omega p_{s_x} x_s }$, whereas $R$ is the wavefield generated by propagating the encoded-area source $\sum_{{\bf x}_r} W_r({\bf x}_r,y_s)\delta(x-x_r,y-y_r)\alpha({\bf x}_r,{\bf p}_r,\omega)$. It is quite obvious that the computational cost of equation 7 is independent of the number of receivers, as opposed to equation 3, for which the cost is proportional to the number of receivers.

However, the phase-encoded Hessian brings unwanted crosstalk. This becomes clear by comparing equations 6 and 3. The crosstalk can be suppressed by carefully choosing the phase-encoding function $\alpha$ (Tang, 2009). In this paper, we choose $\alpha$ to be a random phase-encoding function; thus ${\bf p}_r$ denotes the realization index of the random phase-encoding function. It would be very easy to verify that, with this choice of encoding functions, the expectation of the crosstalk becomes zero. Therefore, equation 6 converges to equation 5 by stacking over ${\bf p}_r$, according to the law of large numbers (Gray and Davisson, 2003):

$\displaystyle {\widetilde {\widetilde H}}({\bf x},{\bf x}')=
\sum_{{\bf p}_r} {...
...etilde {\widetilde H}}({\bf x},{\bf x}',{\bf p}_r)
\approx H({\bf x},{\bf x}').$     (12)

For most practical applications where the number of shots is big, the randomly phase-encoded Hessian with one realization seems to be sufficient (Tang, 2009).


next up previous [pdf]

Next: Regularizations Up: theory Previous: Image-domain least-squares migration

2011-05-24