 |
 |
 |
 | Subsalt imaging by target-oriented wavefield least-squares migration: A 3-D field-data example |  |
![[pdf]](icons/pdf.png) |
Next: About this document ...
Up: Tang and Biondi: 3-D
Previous: Acknowledgements
-
Ayeni, G., Y. Tang, and B. Biondi, 2009, Joint preconditioned least-squares
inversion of simultaneous source time-lapse seismic data sets: SEG Technical
Program Expanded Abstracts, 28, 3914-3918.
-
-
Biondi, B., S. Fomel, and N. Chemingui, 1998, Azimuth moveout for 3-d prestack
imaging: Geophysics, 63, 574-588.
-
-
Claerbout, J., 1998, Multidimensional recursive filters via a helix:
Geophysics, 63, 1532-1541.
-
-
Claerbout, J. F., 1985, Imaging the earth's interior: Blackwell Scientific
Publication.
-
-
----, 1992, Earth soundings analysis: Processing versus inversion:
Blackwell Scientific Publication.
-
-
----, 2008, Image Estimation By Example: Geophysical Sounding
Image Construction: Multidimensional Autoregression: Stanford
University.
-
-
Clapp, M. L., 2005, Imaging Under Salt: Illumination Compensation by
Regularized Inversion: PhD thesis, Stanford University.
-
-
Clapp, R., 2003, Geologically Constrained Migration Velocity Analysis:
PhD thesis, Stanford University.
-
-
Duquet, B., P. Lailly, and A. Ehinger, 2001, 3d plane wave migration of
streamer data: SEG Technical Program Expanded Abstracts, 20,
1033-1036.
-
-
Fomel, S., P. Sava, J. Rickett, and J. F. Claerbout, 2003, The wilson–burg
method of spectral factorization with application to helical filtering:
Geophysical Prospecting, 51, 409-420.
-
-
Gray, R. and L. D. Davisson, 2003, Introduction to Statistical Signal
Processing: Cambridge University Press.
-
-
Hale, D., 2007, Local dip filtering with directional laplacians: CWP Project
Review, 567, 91-102.
-
-
Kühl, H. and M. D. Sacchi, 2003, Least-squares wave-equation migration for
avp/ava inversion: Geophysics, 68, 262-273.
-
-
Lailly, P., 1983, The seismic inverse problem as a sequence of before stack
migration: Proc. Conf. on Inverse Scattering, Theory and Applications,
Expanded Abstracts, Philadelphia, SIAM.
-
-
Lecomte, I., 2008, Resolution and illumination analyses in PSDM: A ray-based
approach: The Leading Edge, 27, no. 5, 650-663.
-
-
Liu, F., D. W. Hanson, N. D. Whitmore, R. S. Day, and R. H. Stolt, 2006,
Toward a unified analysis for source plane-wave migration: Geophysics, 71, no. 4, S129-S139.
-
-
Nemeth, T., C. Wu, and G. T. Schuster, 1999, Least-squares migration of
incomplete reflection data: Geophysics, 64, 208-221.
-
-
Stolt, R. H. and A. Benson, 1986, Seismic Migration: Theory and
Practice: Geophysical Press.
-
-
Tang, Y., 2009, Target-oriented wave-equation least-squares
migration/inversion with phase-encoded Hessian: Geophysics, 74,
WCA95-WCA107.
-
-
Tang, Y. and B. Biondi, 2011, Subsalt velocity analysis by target-oriented
wavefield tomography: A 3-D field-data example: SEP-143, xxx-xxx.
-
-
Tang, Y. and S. Lee, 2010, Preconditioning full waveform inversion with
phase-encoded hessian: SEG Technical Program Expanded Abstracts, 29,
1034-1038.
-
-
Valenciano, A., 2008, Imaging by Wave-equation Inversion: PhD thesis,
Stanford University.
-
-
van Vliet, L. J. and P. W. Verbeek, 1995, Estimators for orientation and
anisotropy in digitized images: ASCI’95, Proc. First Annual Conference of
the Advanced School for Computing and Imaging (Heijen, NL, May 16-18), ASCI,
442-450.
-
-
Whitmore, N. D., 1995, An Imaging Hierarchy for Common Angle Plane
Wave Seismogram: PhD thesis, University of Tulsa.
-
-
Zhang, Y., J. Sun, C. Notfors, S. H. Gray, L. Chernis, and J. Young, 2005,
Delayed-shot 3d depth migration: Geophysics, 70, E21-E28.
-
Appendix
A
3-D conical-wave domain Hessian
In general, a 3-D surface seismic data set can be represented by a 5-D object
, with
and
being the receiver and source position, respectively,
and
being the angular frequency. Under the Born approximation (Stolt and Benson, 1986),
the data can be modeled by a linear
operator as follows:
 |
|
|
(17) |
where
is the source function;
and
are the Green's functions
connecting the source and receiver position to the image point
, respectively.
We can transform data into the conical-wave domain by
slant-stacking along the inline source axis
as follows:
 |
|
|
(18) |
where
is the acquisition mask operator, which contains ones where we record data, and zeros where we do not;
is the surface ray parameter in the inline direction.
The inverse transform is
 |
|
|
(19) |
where
on the right hand side of the equation is also known as the ``rho'' filter (Claerbout, 1985).
To find a reflectivity model
that best fits the observed data for a given background velocity,
we can minimize a data-misfit function that measures the differences between the observed data
and the synthesized data in a least-squares sense.
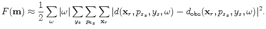
In the point-source case, the data-misfit function is
![$\displaystyle F({\bf m}) = \frac{1}{2}\sum_{\omega}\sum_{{\bf x}_s}\sum_{{\bf x...
...[d({\bf x}_r,{\bf x}_s,\omega)-d_{\rm obs}({\bf x}_r,{\bf x}_s,\omega)]\vert^2,$](img122.png) |
|
|
(20) |
where
is the observed data. Substituting equation A-3 into A-4 yields
If the inline source axis
is reasonably well sampled, we have
,
where
is the Dirac delta function.
Therefore,
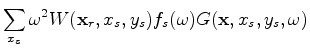
an objective function equivalent to equation A-4 in the 3-D conical-wave domain takes the following form:
 |
|
|
(22) |
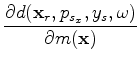
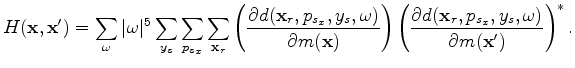
The Hessian operator in the 3-D conical-wave domain can be obtained by taking the second-order derivatives
of
(equation A-6) with respect to the model parameters:
 |
|
|
(23) |
When
, we obtain the diagonal components of the Hessian,
which are also known as the subsurface illumination;
otherwise, we obtain the off-diagonal components of the Hessian, which
are also known as the resolution function for a given acquisition setup.
With equations A-1 and A-2,
we obtain the expression of the derivative of
with respect to
as follows:
Substituting equation A-8 into equation A-7 yields the expression
for each component of the Hessian matrix in the 3-D conical-wave domain:
 |
 |
 |
 | Subsalt imaging by target-oriented wavefield least-squares migration: A 3-D field-data example |  |
![[pdf]](icons/pdf.png) |
Next: About this document ...
Up: Tang and Biondi: 3-D
Previous: Acknowledgements
2011-05-24