next up previous [pdf]

Next: Choosing the Operator Length Up: Berryman: MESA Previous: The Variational Principle

Computing the Prediction Error Filter

When the autocorrelation values $ R_0, \ldots, R_{M-1}$ are known, Equation (10) is a linear set of $ M$ equations for the $ M$ unknown $ a_M^*$'s. On the other hand, if a prediction error filter $ \left\{a_m\right\}$ and prediction error $ E_m$ are known, Equation (10) together with (2) forms a linear set of equations that could be solved for the $ R_n$'s. Thus, there exists a one-to-one correspondence between the prediction error filter and the autocorrelation function. This relationship is exploited by () in his algorithm for computing the minimum phase operator.

The autocorrelation function defined by (2) requires an infinite series, yet it can only be estimated from a series of finite length $ N$. Given the data set $ \left\{X_1,\ldots, X_N\right\}$, a reasonable estimate of $ R_n$ for large $ N$ is given by

$\displaystyle R_n = \frac{1}{N}\sum_{m=1}^{N-n} X_m^*X_{m+n} \quad\hbox{for}\quad 0 \le n \le N-1.$ (A-18)

This estimate has at least two shortcomings: (a) Conceptually, the autocorrelation should be an arithmetic average of the $ N-n$ lag products in (18). The true arithmetic average is (for $ n \ge 0$)

$\displaystyle R_n^\prime = \frac{1}{N-n}\sum_{m=1}^{N-n} X_m^*X_{m+n} \simeq \frac{N}{N-n}R_n.$ (A-19)

Equation (19) might be used as the autocorrealtion estimate instead of (18). Unfortunately, this is seldom possible because the Hermitian Toeplitz matrix $ T$ defined in (11) is not always nonnegative definite when the definition (19) is used (, ). A stable operator $ \left\{a_m\right\}$ cannot be found if $ T$ is not nonnegative definite. We conclude that (19) is not a satisfactory estimate of $ R_n$. (b) Suppose for the moment that the matrix $ T$ computed using (19) happens to be positive definite. Then each estimated $ R_n^\prime$ is being computed from only $ N-n$ measurements of the $ n$-lag product, whereas $ R_0$ is estimated from $ N$ measurements of the zero-lag product. From measurement theory, it is clear that the uncertainty increases approximately as $ \left(N-n\right)^{-\frac{1}{2}}$. In fact, this increase in the uncertainty of $ R_n$ is unavoidable regardless what choice of estimate for $ R_n$ we use as long as $ N$ remains finite. One might try to alleviate this problem by using periodic boundary conditions, so that

$\displaystyle R_n = \frac{1}{N}\sum_{m=1}^{N} X_m^*X_{m+n}$ (A-20)

and

$\displaystyle X_{m+N} \equiv X_m.$ (A-21)

However, this approach merely trades one problem for another one. The periodic assumption introduces spurious peaks into the spectrum by making unfounded assumptions about time series behavior off the ends of the data. Although nevertheless a fairly common approach, this method really cannot improve the accuracy of the computed $ R_n$'s for seismic traces having typical lengths.

We conclude that, if an autocorrelation must be computed, then Equation (18) should be used. However, () has observed that, in order to compute the maximum entropy spectrum, all that is required is an estimate of the minimum phase deconvolution operator. If this estimate can be computed without first estimating the autocorrelation values, then so much the better.

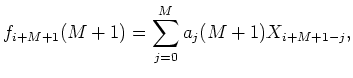
Suppose an estimate of the operator length $ M$ is known ($ a_0 = 1$ for $ M = 1$). How can the operator length be increased from $ M$ to $ M+1$? Note that by definition the forward prediction error is given by

$\displaystyle f_{i+M}(M) = \sum_{j=0}^{M-1} a_j(M)X_{i+M-j}\quad\hbox{for}\quad 1 \le i \le N-M,$ (A-22)

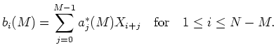
and the backward prediction error is

$\displaystyle b_i(M) = \sum_{j=0}^{M-1} a_j^*(M)X_{i+j}\quad\hbox{for}\quad 1 \le i \le N-M.$ (A-23)

Similarly, we have

$\displaystyle f_{i+M+1}(M+1) = \sum_{j=0}^M a_j(M+1)X_{i+M+1-j},$ (A-24)

and

$\displaystyle b_i(M+1) = \sum_{j=0}^M a_j^*(M+1)X_{i+j},$ (A-25)

which are the linear combinations of (22) and (23) given by

$\displaystyle f_{i+M+1}(M+1) = f_{i+M+1}(M) + C_{M+1}b_i(M)$ (A-26)

and

$\displaystyle b_i(M+1) = b_i(M) + C_{M+1}^*f_{i+M+1}(M).$ (A-27)

Assuming the value of $ C_{M+1}$ is known, (22)-(27) can be used to show that the recursion formulas for the $ a$'s are:

\begin{displaymath}\begin{array}{l} a_0(M+1) = 1, \cr a_i(M+1) = a_i(M) + C_{M+1...
...\le i\le M-1,\quad\hbox{and}\cr a_M(M+1) = C_{M+1}. \end{array}\end{displaymath} (A-28)

Equation (28) is exactly the recursion relation for a minimum phase operator when $ \vert C_i\vert < 1$ for all $ i \le M+1$. Thus, estimating the $ a$'s reduces to estimating the $ C$'s. A criterion for choosing $ C_{M+1}$ is still required.

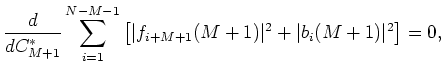
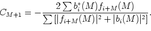
() suggests that one reasonable procedure is to choose the $ C_{M+1}$ that minimizes the total power of the prediction errors. Setting

$\displaystyle \frac{d}{dC_{M+1}^*}\sum_{i=1}^{N-M-1} \left[\vert f_{i+M+1}(M+1)\vert^2 + \vert b_i(M+1)\vert^2\right] = 0,$ (A-29)

the estimate becomes

$\displaystyle C_{M+1} = - \frac{2\sum b_i^*(M)f_{i+M}(M)}{\sum \left[\vert f_{i+M}(M)\vert^2 + \vert b_i(M)\vert^2\right]}.$ (A-30)

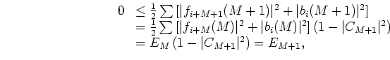
Substituting (30) for $ C_{M+1}$ into the total power, it is not difficult to show that

\begin{displaymath}\begin{array}{rl} 0 & \le \frac{1}{2} \sum\left[\vert f_{i+M+...
...E_M\left(1 - \vert C_{M+1}\vert^2\right) = E_{M+1}, \end{array}\end{displaymath} (A-31)

where $ E_0 = R_0$. Equation (31) guarantees that $ \vert C_{M+1}\vert \le 1$, as is required for $ a$ to be minimum phase.

Finally, the algorithm for computing the set $ \left\{a_m\right\}$ is this: (a) Compute the $ C$'s using Equation (30). (b) Store the $ C$'s until the desired operator length $ M$ is attained. (c) Compute the $ a$'s from the $ C$'s using the recursion (28). This algorithm (simplified for real data) is the one used in the maximum entropy processor for MESA that I developed.

It is important to notice before proceeding further that the Burg algorithm has been constructed to remove the first difficulty discussed earlier in computing $ R_n$. All the information $ \left\{X_n\right\}$ has been used; the operator is minimum phase; but no explicit averaging of lag products was required. On the other hand, this algorithm does nothing to alleviate the second problem we discussed. It is still inherent in the finite time series problem that the numbers we compute become less reliable as the operator length increases.

A major difficulty in applying MESA is that there is no built-in mechanism for choosing the operator length. From the derivation of (5), it is clear the operator length should be $ N$ if the first $ N$ autocorrelation values are known precisely and unknown otherwise. However, the autocorrelation function has (normally) been estimated from the time series data and its estimated values are inaccurate for $ n$ close to $ N$. How to choose a practical operator length $ M$ satisfying $ 1 < M < N$ is therefore the subject of the next section.


next up previous [pdf]

Next: Choosing the Operator Length Up: Berryman: MESA Previous: The Variational Principle

2009-04-13