 |
 |
 |
 | Gradient of image-space wave-equation tomography by the adjoint-state method |  |
![[pdf]](icons/pdf.png) |
Next: Gradient of ISWET by
Up: Gradient of image-space wave-equation
Previous: introduction
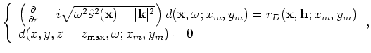
Biondi (2007,2006) introduced the concept of the prestack exploding-reflector as a generalization of the exploding-reflector method (Loewenthal et al., 1976). The prestack exploding-reflector modeling synthesizes areal data and the corresponding areal source function, having as an initial condition a prestack image computed with wave-equation migration. If the slowness is accurate and the energy is focused at zero-subsurface offset, the prestack exploding-reflector modeling reduces to the conventional exploding-reflector method. Basically, the prestack exploding-reflector method models one single reflection event from one single ODCIG by recursive upward continuation with the following one-way wave equations:
 |
|
|
(1) |
and
 |
|
|
(2) |
where
and
are a single ODCIG at the horizontal location
with a single reflector, and are suitable initial conditions for modeling the source and receiver wavefields, respectively. They are obtained by rotating the original unfocused ODCIGs according to the apparent geological dip of the reflector. This operation maintains the velocity information needed for migration velocity analysis, especially for dipping reflectors (Biondi, 2007). Note that
is the areal source data and
is the areal receiver data for a single reflector and a single ODCIG located at
;
denotes that the wavefields can be collected at any depth level,
. This characteristic is important for accelerating ISWET, especially if
separates regions of sufficiently accurate slowness above and inaccurate slowness below. Therefore, the synthesized gathers are naturally datumized, and the wavefield propagations during ISWET can be restricted to the region where the slowness model must be updated. This feature allows the application of ISWET to be target-oriented.
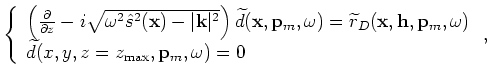
As initially formulated, if one models a single reflection from one ODCIG at a time, the prestack exploding-reflector method generates a dataset that can be orders of magnitude bigger than the original dataset. As discussed by Biondi (2006) and Guerra and Biondi (2008a,b), modeling several reflectors and several ODCIGs simultaneously and using random phase encoding generates a much smaller dataset that, when migrated, do not produce crosstalk. The randomly encoded areal source and areal receiver wavefields can be computed as follows:
 |
|
|
(3) |
and
 |
|
|
(4) |
where
and
are the encoded ODCIGs after rotations. They are defined as follows:
where
is a pseudo-random phase-encoding function, with
being a uniformly distributed random sequence in
,
,
and
; the variable
is the index of different realizations of the random sequence. The recursive solution of equations 3 and 4 gives the encoded areal source data
and areal receiver data
, at the depth level,
.
 |
 |
 |
 | Gradient of image-space wave-equation tomography by the adjoint-state method |  |
![[pdf]](icons/pdf.png) |
Next: Gradient of ISWET by
Up: Gradient of image-space wave-equation
Previous: introduction
2009-10-16