next up previous [pdf]

Next: Transformation of the Main Up: Guerra: Weighted offset-to-angle Previous: Weighted offset-to-angle transformation

Examples

To test this methodology I applied it on the well known Sigsbee synthetic dataset. This dataset presents illumination problems due to an irregular salt body shape, which results in unbalanced amplitude patterns in the seismic section (Figure 1). The small rectangle in Figure 1 highlights the target area. The off-end acquisition geometry consists of 348 receivers, 75 ft apart, resulting in 26025 ft maximum offset. As source coordinates are smaller than receiver coordinates, the source-receiver offsets are positive. Therefore, the energy is mainly distributed at positive reflection angles.

Sigsbee
Sigsbee
Figure 1.
Shot profile migration of part of Sigsbee dataset -- zero-subsurface offset. The small box highlights the target area.
[pdf] [png]

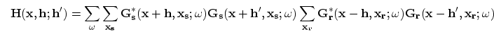
Figures 2 and 3 show two different SODCIGs and their respective subsurface-offset Hessian main diagonal, located at CMP coordinates 33200 ft and 35500 ft, respectively. The illumination problem gets more severe as we approach the dipping salt flank. In this work, all figures related to illumination show high-illumination values in dark gray and low illumination values in light gray. Both SODCIGs clearly exhibit the effects of poor illumination represented by horizontal and dipping ($\sim$ 40$^{\circ }$ -- 50$^{\circ }$) straight events. The energy smeared along these directions will be mapped to the reflection-angle domain according the dips observed in the subsurface-offset domain. In the SODCIG at CMP position 35500 ft, events curving upward are the expression of multiples.

Ojoin16
Ojoin16
Figure 2.
SODCIG and diagonal of the subsurface-offset Hessian at CMP coordinate 33200 ft. Note the effects of poor illumination represented by horizontal and dipping straight events in the SODCIG.
[pdf] [png]

Ojoin50
Ojoin50
Figure 3.
SODCIG and diagonal of the subsurface-offset Hessian at CMP coordinate 33200 ft. Upward curved events correspond to multiples. Note the effects of poor illumination represented by horizontal and dipping straight events in the SODCIG.
[pdf] [png]



Subsections
next up previous [pdf]

Next: Transformation of the Main Up: Guerra: Weighted offset-to-angle Previous: Weighted offset-to-angle transformation

2007-09-15