next up previous [pdf]

Next: Logarithmic velocity parametrization Up: Model parametrization and sensitivity-kernel Previous: Naive parametrization

Velocity parametrization

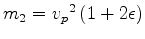
Another parametrization is to use velocities for both variables. Defining $ {m_1={v_p}^{2}}$ and $ {m_2={v_p}^2\left(1+2\epsilon\right)}$ , equation 1 can be rewritten as follows:
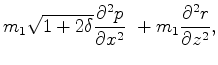
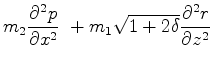
$\displaystyle \frac{\partial^2 p}{\partial t^2}$ $\displaystyle =$ $\displaystyle m_2\frac{\partial^2 p}{\partial x^2} \
+ m_1\sqrt{1+2\delta}\frac{\partial^2 r}{\partial z^2}$  
$\displaystyle \frac{\partial^2 r}{\partial t^2}$ $\displaystyle =$ $\displaystyle m_1\sqrt{1+2\delta}\frac{\partial^2 p}{\partial x^2} \
+ m_1\frac{\partial^2 r}{\partial z^2},$ (7)

Using similar procedure to the one described in the previous section, we can obtain a matrix form expression:
$\displaystyle \begin{vmatrix}{ \frac{\partial^2 }{\partial t^2} - m_{2,0}\frac{...
...left\vert\begin{array}{c} {\Delta{m_1}} \\ {\Delta{m_2}}\end{array}\right\vert,$     (8)

This is the linear relationship between model perturbation and data perturbation, and can be used to calculate the sensitivity kernel. Figure 6 shows the relative sensitivity kernel of the two model parameters. Both figures are clipped to the same value. Since both variables are parametrized as velocities, their updates are of similar strength, and this is an effective parametrization.

relimpv
relimpv
Figure 6.
Relative sensitivity kernel of parameter: a) $ {{v_p}^{2}}$ ; b) $ {{v_p}^2\left (1+2\epsilon \right )}$ . Both figures are clipped at the same value.
[pdf] [png]


next up previous [pdf]

Next: Logarithmic velocity parametrization Up: Model parametrization and sensitivity-kernel Previous: Naive parametrization

2012-05-10