next up previous [pdf]

Next: Separation using over-under recordings Up: Separation of Up- and Previous: Separation of Up- and

Separation using pressure and particle velocity recordings

The basic idea of up-down separation using pressure and vertical particle velocity is quite simple. Hydrophones measure compressional waves ($ P $) regardless of their direction. Ocean bottom seismometers measure vertical particle velocity ($ V_z$) that depends on the direction of the waves measured. Figure 3 illustrates the measurement of a positive pulse coming from above and from below.

pzfig
pzfig
Figure 3.
This Figure illustrates pressure $ \bold P$ and verticle particle velocity $ V_z$ measurement of a positive pulse coming from above and from below. Down-going events have opposite polarity while up-going events have the same polarity. [NR]
[pdf] [png]

Since the polarity of the $ P $ and $ V_z$ signal is the same for up-going waves and opposite for down-going waves, one can decompose the $ P $ and $ V_z$ measurements into up-going ($ U$) and down-going ($ D $) pressure components:


$\displaystyle P(z_r)$ $\displaystyle =$ $\displaystyle \left[ U(z_r) + D(z_r) \right],$  
$\displaystyle V_z (z_r)$ $\displaystyle =$ $\displaystyle \left[ U(z_r) - D(z_r) \right]/ I ,$ (1)

where $ z_r$ is the receiver depth and $ I$ is an impedance factor that scales vertical velocity value to pressure value. The impedance can be offset, frequency, wavenumber, or density dependent depending on the method used. One way to perform PZ summation is in the Fourier ( $ \omega - k_x - k_y$)domain as


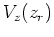
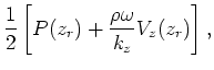
$\displaystyle U (z_r)$ $\displaystyle =$ $\displaystyle \frac{1}{2} \left[ P(z_r) - \frac{\rho \omega}{k_z} V_z (z_r) \right] ,$  
$\displaystyle D (z_r)$ $\displaystyle =$ $\displaystyle \frac{1}{2} \left[ P(z_r) + \frac{\rho \omega}{k_z} V_z (z_r) \right] ,$ (2)

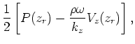
where $ \omega$ is frequency in time. $ k_z = \sqrt{\frac{w^2}{v^2} - k_x^2 - k_y^2}$ is the vertical wavenumber calculated from horizontal wave numbers $ k_x$ and $ k_y$. For a complete derivation of equation 2, please refer to Amundsen (1993).


next up previous [pdf]

Next: Separation using over-under recordings Up: Separation of Up- and Previous: Separation of Up- and

2009-05-05