next up previous [pdf]

Next: Conclusion Up: Al Theyab and Biondi: Transmission Previous: Visco-Acoustic Modeling

Effect on Reflected waves

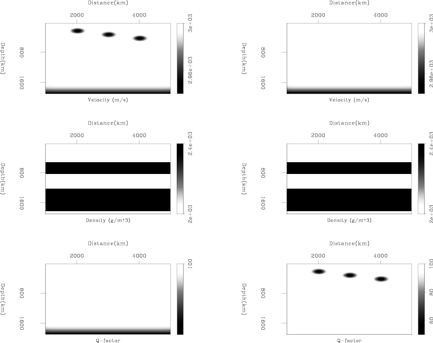
The models used to analyze transmission effects on reflection data have four reflections caused by density contrasts in a constant-background velocity and constant background absorption medium. Four different possible models are considered, two of which are shown Figure 2. In the first model (left), there are three slowness anomalies with a velocity that is $ 2\%$ less than the background velocity ($ 3000 m/s$). In the second model (right), the three anomalies are replaced by absorption anomalies with same shape and size. These absorption anomalies have a Q-factor $ 50\%$ less than the background Q-factor ($ Q=100$). The third model has the both the velocity and absorption anomalies. In the fourth model, a similar model, but without the anomalies, was used as a reference model for the subsequent analysis.

rflmodels
rflmodels
Figure 2.
Visco-acoustic models with a constant background velocity (top) and Q-factor (bottom), with four density (middle) reflectors, and three anomalies at depths of 100 m, 200 m and 400 m. Left: the anomalies are velocity variations of $ 2\%$ from the background velocity. Right: the anomalies are absorption variations with Q-factor $ 50\%$ less than the background.[ER]
[pdf] [png]

To measure the effect of the anomalies, we applied NMO correction to the seismic events coming from the reference model. Then, the maximum amplitude $ A_{ref}$ of each reflection event and its arrival time $ t_{ref}$ were picked (trace by trace). The same procedure was applied to the resulting data from the models with anomalies to obtain $ A_{max}$ and $ t_{max}$. Time delays are then computed by taking the difference of the arrival times,

$\displaystyle \delta t = t_{max}-t_{ref}.$ (2)

Figure 3 shows the travel-time delays $ \delta t$ of the maximum amplitude (caused by the presence of the anomalies) sorted into the midpoint-offset domain. The maximum amplitude differences normalized with the amplitude of reference reflections (i.e. reflections if the model had no anomalies) were computed using

$\displaystyle \delta A={A_{max} - A_{ref}\over A_{ref}},$ (3)

and are shown in Figure 4.

Each row of the Figures 3 and 4 corresponds to one of the four reflectors; the top rows are for the shallowest reflector and the bottom ones are for the deepest. The left columns of the two figures are for the data resulting from the left model in Figure 2, and the right columns are for the right model in Figure 2.

rfltimes
rfltimes
Figure 3.
Time delays caused by the velocity anomalies (left) and absorption anomalies (right) on on the four primary reflections, the shallowest (top) to the deepest (bottom) in the midpoint-offset domain. [CR]
[pdf] [png]

rflamps
rflamps
Figure 4.
Amplitude changes caused by the velocity anomalies (left) and absorption anomalies (right) on the four primary reflections, the shallowest (top) to the deepest (bottom) in the midpoint-offset domain. [CR]
[pdf] [png]

rflvq
rflvq
Figure 5.
The time (left) and amplitude (right) changes to reflections from the shallowest (top) to deepest (bottom) caused by anomalies that are both slow and absorptive. [CR]
[pdf] [png]

Each anomaly in the model causes an X-shaped signature centered at the midpoint location of the anomaly. The arms of the shape generally spread further apart and each becomes broader with increasing offsets. The trajectory angle (i.e. the angle between the arms of the X-shape) is generally narrower for the deepest anomaly, especially for the first reflector, with which the anomaly coincides. This distinction, however, is gradually lost with increasing depth of reflectors, as shown in the fourth reflector, where the trajectory angles are almost the same for all three anomalies.

As expected, the slow anomalies cause time delays (positive shifts) as shown in the left side of Figure 3. The magnitudes of the time shifts are smaller for deeper reflectors, and span a larger range of offsets, which results in fatter patterns. Absorption anomalies cause almost no time shifts. The width of the signature is less dependent on increasing offset. Instead, it depends on the depth of the anomaly.

Amplitude distortions in Figure 4 show trajectories similar to time shifts in the midpoint-offset domain. The magnitude of the distortion generally decreases with depth, and becomes less focused with increasing offsets. The arms of signatures narrow with depth. Because of tilting of the upcoming waves, the energy is confined closer to the source and stretches with increasing offset. This causes the asymmetry of the signatures about the axes of the arms. Velocity anomalies cause focusing. Therefore, we have higher amplitudes paired with two shadow zones (drops in amplitude), as shown in the left side of Figure 4. The absorption signature, on the other hand, shows only a drop in amplitude. The width of the absorption signature is generally smaller than that of velocity because of the absence of focusing.

From Figures 3 and 4, we can observe that the time delay of the velocity signature is strictly positive, and the amplitude signature has a doublet of positive and negative amplitude changes. The absorption amplitude signature is strictly negative, with no time shifts. It should be noticed, however, that that the magnitude of the absorption amplitude distortions matches those of the velocity distortions. This is shown in the two cases presented. Figure 6 shows amplitude changes to the zero-offset reflection that passes twice through an anomaly (left). The changes in amplitude are shown as functions of percentile change of velocity (middle) relative to the background velocity ( $ v=3000 m/s$), and Q-factor (right) relative to the background Q-factor ($ Q=100$). The range of amplitude drop due to absorption is generally similar to that caused by the velocity changes of interest ($ <5\%$).

Figure 5 shows the time signature (left) and the amplitude signature (right) for the third model, i.e. the model with both velocity and absorption anomalies coinciding. The time signature looks similar to that of slowness-only anomalies. The amplitude signature is more complex than the two velocity-only and absorption-only cases. For the near offsets, the focusing effect and the absorption effect cancel each other leaving only two parallel shadow zones. The focusing effect dominates the amplitude signature at the far offsets and we see the dim-bright-dim signature again. From this, we can see that the near offsets play a significant role in determining the presence of absoroption. Missing or noisy near offsets can potentially cause the velocity-absorption effect to be mistaken for velocity-only effect.

avpcurve
avpcurve
Figure 6.
Left: a geologic model of a single reflector and an anomaly that will perturb the primary reflection. The changes of the zero offset reflection are normalized with respect to unperturbed reflection. The amplitude changes as a function of percent change in velocity (middle) or Q-factor (right). [CR]
[pdf] [png]


next up previous [pdf]

Next: Conclusion Up: Al Theyab and Biondi: Transmission Previous: Visco-Acoustic Modeling

2009-04-13