 |
 |
 |
 | Transmission effects of localized variations of Earth's visco-acoustic parameters |  |
![[pdf]](icons/pdf.png) |
Next: Visco-Acoustic Modeling
Up: Al Theyab and Biondi: Transmission
Previous: Introduction
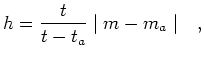
For a constant background velocity with non-dipping reflector, the distortion trajectory (i.e. the location in prestack data space) caused by a single anomaly can be described by
 |
(1) |
where
is the half offset,
is travel-time,
is the midpoint, and
and
are the midpoint and traveltime location of the anomaly (Vlad, 2005). The trajectory of the distortion is controlled by the background velocity and the geometry of the reflectors (Vlad, 2005). Besides the trajectory, the distortion has a time-signature (i.e. changes in travel time caused by the presence of the anomaly) and an amplitude-signature (i.e. changes in amplitude). Hatchell (2000) showed real data examples of different amplitude signatures caused by faulting. He also showed that the asymmetry of a velocity anomaly causes different focusing effects depending on whether it is encountered in the receiver leg or source leg, which means the signature can be asymmetric. The signature of an anomaly depends on it's size, shape, type (i.e. velocity, absorption, or both), and the strength (departure from the background velocity and/or absorption).
Considering only type of the anomaly for this study, we use a constant-background velocity and constant-background Q-factor with non dipping-reflectors. Although simple, this geologic model of non-dipping reflectors exists in many geologic provinces, which justifies using it here.
 |
 |
 |
 | Transmission effects of localized variations of Earth's visco-acoustic parameters |  |
![[pdf]](icons/pdf.png) |
Next: Visco-Acoustic Modeling
Up: Al Theyab and Biondi: Transmission
Previous: Introduction
2009-04-13