next up previous [pdf]

Next: Bibliography Up: Berryman: MESA Previous: APPENDIX A

APPENDIX B

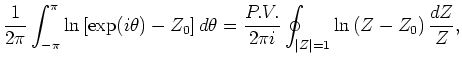
We need to compute the integral

$\displaystyle \frac{1}{2\pi}\int_{-\pi}^\pi \ln\left[\exp(i\theta) - Z_0\right]...
... \frac{P.V.}{2\pi i}\oint_{\vert Z\vert = 1} \ln\left(Z-Z_0\right)\frac{dZ}{Z},$ (B-1)

where $ P.V.$ stands for the principal value of the contour (complex) integral when the logarithm's branch cut is taken along the negative real axis.

First, note that

$\displaystyle \frac{1}{2\pi}\int_{-\pi}^\pi \ln\left[\exp(i\theta) - Z_0\right]...
...+ \frac{1}{2\pi}\int_{-\pi}^\pi \ln\left[1 - \exp(-i\theta)Z_0\right]\,d\theta.$ (B-2)

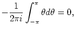
The first integral on the right is just

$\displaystyle -\frac{1}{2\pi i}\int_{-\pi}^\pi \theta d\theta = 0,$ (B-3)

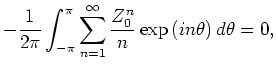
since the integrand is an odd function. When $ \vert Z_0\vert < 1$, the integrand of the second integral on the right can be expanded in a convergent power series. Integrating term by term, we find that

$\displaystyle -\frac{1}{2\pi}\int_{-\pi}^{\pi} \sum_{n = 1}^\infty\frac{Z_0^n}{n}\exp\left(i n\theta\right)d\theta = 0,$ (B-4)

since $ \exp\left(in\pi\right) - \exp\left(-in\pi\right) = \cos(n\pi) +i\sin(n\pi) - \cos(-n\pi) -i\sin(-n\pi)
= 0$ (the two cosines cancel and the two sines both vanish individually for all integer values of $ n$). Thus, we find (B-1) is identically zero for all $ \vert Z_0\vert < 1$. In particular, it vanishes when $ Z_0 = 0$, so

$\displaystyle \frac{P.V.}{2\pi i}\oint_{\vert Z\vert = 1} \ln Z \times \frac{dZ}{Z} = 0.$ (B-5)


next up previous [pdf]

Next: Bibliography Up: Berryman: MESA Previous: APPENDIX A

2009-04-13