 |
 |
 |
 | 3D shot-profile migration in ellipsoidal coordinates |  |
![[pdf]](icons/pdf.png) |
Next: About this document ...
Up: Shragge and Shan: Ellipsoidal
Previous: APPENDIX A
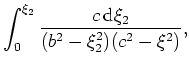
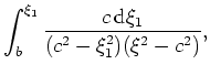
The integral elliptic representations of the ellipsoidal coordinate
system are given by the following three equations (, ):
where
are elliptic integrals of the first kind
defined by
![$\displaystyle u = F\left[\phi,k\right] = \int_{0}^{\phi} \frac{{\rm d}\theta}{\sqrt{1 - k^2 {\rm sin}^2 \theta}},$](img99.png) |
(A-2) |
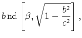
where the elliptic modulus
satisfies
and
is
the Jacobi amplitude. Solutions to equation A-2 are
calculated using the method of arithmetic-geometric mean and
descending Landen Transformation described in ().
The integral transforms are invertible and can be represented in terms
of Jacobi elliptic functions
and
(, ):
where
is again elliptic modulus and
is defined by
equation A-2. The Jacobi elliptic functions are calculated
using the method of the arithmetic-geometric mean described in
().
 |
 |
 |
 | 3D shot-profile migration in ellipsoidal coordinates |  |
![[pdf]](icons/pdf.png) |
Next: About this document ...
Up: Shragge and Shan: Ellipsoidal
Previous: APPENDIX A
2009-04-13