next up previous [pdf]

Next: VTI Symmetry Up: Berryman: Extended Thomsen formulas Previous: Extended Thomsen formulas

DEDUCING $\theta_m$ FROM SEISMIC DATA

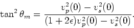
In the extended formulas for seismic data, the key quantity needed is clearly the value of the angle $\theta_m$. However, this value is quite easily determined since

\begin{displaymath}
\tan^2\theta_m = \frac{c_{33}-c_{44}}{c_{11}-c_{44}} = \frac{v_p^2(0)-v_s^2(0)}{(c_{11}/\rho) - v_s^2(0)}
\end{displaymath} (A-1)

and
\begin{displaymath}
\epsilon = \frac{c_{11}-c_{33}}{2c_{33}} = \frac{c_{11}/\rho - v_p^2(0)}{2v_p^2(0)}.
\end{displaymath} (A-1)

Therefore,
\begin{displaymath}
\tan^2\theta_m = \frac{v_p^2(0)-v_s^2(0)}{(1+2\epsilon)v_p^2(0)-v_s^2(0)}.
\end{displaymath} (A-1)

Thus, $\theta_m$ is completely determined by the same data used in the standard analysis of reflection seismic data, which determines the various small angle wave speeds and the Thomsen weak anisotropy parameters.

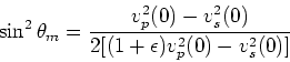
The pertinent fixed factors for use in the formulas are given by

\begin{displaymath}
\sin^2\theta_m = \frac{v_p^2(0) - v_s^2(0)}{2[(1+\epsilon)v_p^2(0) - v^2_s(0)]}
\end{displaymath} (A-1)

and
\begin{displaymath}
\cos2\theta_m = \frac{\epsilon v_p^2(0)}{(1+\epsilon)v_p^2(0) - v^2_s(0)}.
\end{displaymath} (A-1)

Finally, equation 14 also shows how to determine the extreme value $\zeta_m = \zeta(\theta_m)$ using the same data. Examples of such computations are presented in TABLE 1 for various anisotropic rock types. Data for these examples comes from Thomsen's TABLE 1, and no other information is required.

renewedcommandarraystretch1.2 par begincenter sc Table 1. Examples of $\zeta_m$ -- em i.e., the extreme value $zeta(theta_m)$ -- and its angular location $\theta_m$ for various rocks and minerals. The data for $\epsilon$, $\delta$, $v_p(0)$, and $v_s(0)$ are all taken from Table 1 of Thomsen (1986).

par begintabular|c|c|c|c|c|c|c| hlinehline em Sample & $\epsilon$ & $\delta$ & $v_p(0)$ (m/s) & $v_s(0)$ (m/s) & $\zeta_m$ & $\theta_m$
hline Cotton Valley shale & 0.135 & 0.205 & 4721. & 2890. & -0.1564 & 39.89$^o$
Mesaverde sandstone & 0.081 & 0.057 & 3688. & 2774. & 0.0805 & 40.48$^o$
Muscovite crystal & 1.12  & -0.235 & 4420. & 2091. & 0.8985 & 26.90$^o$
Pierre shale & 0.015 & 0.060 & 2202. & 969. & -0.1076 & 44.48$^o$
Taylor sandstone & 0.110 & -0.035 & 3368. & 1829. & 0.3135 & 41.12$^o$
Wills Point shale & 0.215 & 0.315 & 1058. & 387. & -0.1543 & 39.27$^o$
hlinehline endtabular endcenter par sectionNORMAL MOVEOUT CORRECTIONS par The altered forms of $v_p(\theta)$ and $v_{sv}(\theta)$ in equations 26 and 27 suggest that it might also be necessary to alter the normal moveout (NMO) corrections to the velocities (Tsvankin, 2005, p. 113). It is easy to see that these corrections are now given by beginequation V_NMO,p = v_p(0)sqrt1+2delta, labeleq:vpnmo endequation for the quasi-P-wave, and, beginequation V_NMO,sv = v_s(0)sqrt1+2sigma, labeleq:vsvnmo endequation for the quasi-SV-wave, where beginequation sigma = left[v^2_p(0)/v^2_s(0)right](epsilon-delta). labeleq:sigma endequation These corrections to the NMO velocities are exactly the same as those for Thomsen's weak anisotropy approximation because the factor that is pertinent, and that might have potential to alter these expressions is given, in the small angle limit $theta to 0$, by beginequation frac2sin^2theta_m1-cos2theta_m equiv 1, labeleq:factor2 endequation which holds for any value of $\theta_m$ (including both $theta_m to 0$ and $theta_m = 45^0$). Since Thomsen's formulas accurately approximate all three wave speeds in this limit by design, the present formulas share this accuracy (and in some cases -- em i.e., larger offsets -- improves upon it). Therefore, no changes are needed in short offset (small $\theta$) data processing. par The NMO correction for the SH-wave clearly does not change either, since it does not depend on this new factor. par sectionRESERVOIRS WITH VERTICALLY ORIENTED FRACTURES par To provide some pertinent examples of results for the types of anisotropic media most interesting in oil and gas reservoirs, two distinct types of reservoirs having vertical fractures will now be considered. The first case studied will have vertical fractures that are not preferentially aligned, so the reservoir symmetry is vertical transverse isotropy (VTI). The second case will also have vertical fractures but these will be preferentially aligned, so the reservoir symmetry will be horizontal transverse isotropy (HTI) and, therefore, exhibit azimuthal (angle $phi$ dependent) anisotropy. par These two reservoir fracture models will be built up using results from recent numerical experiments by Grechka and Kachanov (2006a,b). Those results were analyzed by Berryman and Grechka (2006) in light of the crack influence parameter formalism of Kachanov (1980) and Sayers and Kachanov (1991). The significance of two crack influence parameters -- $eta_i$, for $i = 1,2$ -- for the case of aligned horizontal cracks for lower crack densities $rho_c = na^3$ (where $n = N/V$ is the number density of cracks -- $N$ being the total number per volume $V$ -- and for penny-shaped cracks $a$ is the radius of the circular penny crack-face while $b/a$ is called the aspect ratio) is: beginequation Delta S^(1H)_ij = rho_cleft(beginarraycccccc 0 & 0 & eta_1 & & & cr 0 & 0 & eta_1 & & & cr eta_1 & eta_1 & 2(eta_1+eta_2) & & & cr & & & 2eta_2 & & cr & & & & 2eta_2 & cr & & & & & 0 cr endarrayright). labeleq:number2 endequation For smaller values of crack density $rho_c$, equation 40 shows how the presence of penny-shaped cracks increases the compliance of the reservoir. [Note that $eta_1$ is usually small and most often negligible, while $eta_2$ is positive and nonnegligible.] Typical values of crack density $rho_c$ for reservoirs are $rho_c le 0.1$. The matrix $Delta S^{(1H)}_{ij}$ is the lowest order compliance correction matrix and should be added to the isotropic compliance matrix beginequation Delta S^(0)_ij = left(beginarraycccccc 1/E & -nu/E & -nu/E & & & cr -nu/E & 1/E & -nu/E & & & cr -nu/E & -nu/E & 1/E & & & cr & & & 1/G & & cr & & & &1/G & cr & & & & & 1/G cr endarrayright), labeleq:number1 endequation where $nu = lambda/2(lambda+mu)$ is Poisson's ratio, $G = mu$ is the shear modulus, and $E = 2(1+nu)G$ is Young's modulus of the (assumed) isotropic background medium. Summing equations 41 and 40 produces the compliance matrix for a horizontally cracked, VTI elastic medium. This combined matrix is then used to compute the behavior of a simple HTI reservoir with aligned vertical cracks using the methods described in Appendix B. par For vertical fractures with randomly oriented axes of symmetry, the resulting VTI medium has a low crack density correction matrix of the form beginequation Delta S^(1V)_ij = rho_cleft(beginarraycccccc (eta_1+eta_2) & eta_1 & eta_1/2 & & & cr eta_1 & (eta_1+eta_2) & eta_1/2 & & & cr eta_1/2 & eta_1/2 & 0 & & & cr & & & eta_2 & & cr & & & & eta_2 & cr & & & & & 2eta_2 cr endarrayright), labeleq:number3 endequation in which the $eta$'s have the same values as those in equation 40 if the only difference between the cracks in equations 42 and 40 is their orientation. Note that $2Delta S^{(1V)}_{ij}+ Delta S^{(1H)}_{ij}$ is an isotropic correction matrix for a system having crack density $3rho_c$. Summing equations 41 and 42 produces the compliance matrix for a vertically cracked VTI elastic medium, in which the crack normals are randomly and/or uniformly distributed in the horizontal plane. par Higher order corrections (em i.e., second order in powers of $rho_c$) in the Sayers and Kachanov (1991) formulation with the three crack influence parameters $eta_i$, for $i=3,4,5$, take the form (again using the Voigt matrix notation): beginequation Delta S^(2H)_ij = rho_c^2left(beginarraycccccc 0 & 0 & eta_4 & & & cr 0 & 0 & eta_4 & & & cr eta_4 & eta_4 & 2(eta_3+eta_4+eta_5) & & & cr & & & 2eta_5 & & cr & & & & 2eta_5 & cr & & & & & 0 cr endarrayright) labeleq:number2plus endequation for horizontal fractures -- em i.e., to be combined with equation 40. Similarly, beginequation Delta S^(2V)_ij = rho_c^2left(beginarraycccccc (eta_3+eta_4+eta_5) & eta_4 & eta_4/2 & & & cr eta_4 & (eta_3+eta_4+eta_5) & eta_4/2 & & & cr eta_4/2 & eta_4/2 & 0 & & & cr & & & eta_5 & & cr & & & & eta_5 & cr & & & & & 2(eta_3+eta_5) cr endarrayright) labeleq:number3plus endequation for the random vertical fractures producing VTI symmetry - to be combined with equation 42. par Examples of values of all five of these crack influence parameters have been obtained based on the numerical studies of Grechka and Kachanov (2006a,b) by Berryman and Grechka (2006). The two models considered have very different Poisson's ratios for the isotropic background media: (a) $\nu _0 = 0.00$ and (b) $\nu _0 = 0.4375$. We will call these two models, respectively, the first model and the second model. The first model has background stiffness matrix values $c_{11} = c_{22} = c_{33} = 13.75$ GPa, $c_{12} = c_{13} = c_{23} = 0.00$ GPa, and $c_{44} = c_{55} = c_{66} = 6.875$ GPa. Bulk modulus for this model is therefore $K_0 = 4.583$ GPa and shear modulus is $G_0 = 6.875$ GPa. The purpose of this model is to provide as much contrast as possible with the following model, while still retaining a physically pertinent value of Poisson's ratio (for which values typically lie in the range $0.0 le nu_0 le 0.5$). The second model has stiffness matrix values $c_{11} = c_{22} = c_{33} = 19.80$ GPa, $c_{12} = c_{13} = c_{23} = 15.40$ GPa, and $c_{44} = c_{55} = c_{66} = 2.20$ GPa. Bulk modulus for this model is therefore $K_0 = 16.86$ GPa and shear modulus is $G_0 = 2.20$ GPa. The second model may be seen to correspond to a background material having compressional wave speed $V_p = 3$ km/s, shear wave speed $V_s = 1$ km/s, and mass density $rho_m = 2200.0$ kg/m$^3$, and is therefore more typical of a sandstone reservoir. Detailed discussion of the method used to obtain the crack influence parameters is given by Berryman and Grechka (2006), and will not be repeated here. Results are listed in sc Table 2. par In all the following plots, the exact curves (as computed for the model $c_{ij}$'s) are plotted first in black; then the Thomsen approximation is plotted in red; and finally the new approximation is plotted in blue. Thus, in those examples where red curves appear to be missing, this happens because the blue curves lie right on top of the red ones (to graphical accuracy). This overlay effect is expected whenever $\theta_m$ approaches $45^o$, which can happen at low crack densities since the background medium has been taken to be isotropic. par 1.2

TABLE 2.of five fracture-influence parameters for the two models considered, from Berryman and Grechka (2006).

Fracture-influence First Model Second Model
Parameters $\nu _0 = 0.00$ $\nu _0 = 0.4375$
$eta_1$ (GPa$^{-1}$)  0.0000 -0.0192
$eta_2$ (GPa$^{-1}$)  0.1941  0.3994
$\eta_3$ (GPa$^{-1}$) -0.3666 -1.3750
$\eta_4$ (GPa$^{-1}$)  0.0000  0.0000
$\eta_5$ (GPa$^{-1}$)  0.0917  0.5500

1.2

TABLE 3.of $\zeta_m$ [the extreme value of $\zeta(\theta)$] for the four models considered. The model fracture density is $rho_c$. The model Poisson ratio for the background medium is $\nu_0$.

$\zeta_m$ $\zeta_m$ $\zeta_m$
Model for $\rho_c = 0.05$ for $\rho_c = 0.10$ for $\rho_c = 0.20$
HTI, $\nu _0 = 0.00$ 0.0277 0.0973 0.2943
VTI, $\nu _0 = 0.00$ 0.0148 0.0558 0.1965
HTI, $\nu _0 = 0.4375$ 0.0102 0.0441 0.1595
  for $\rho_c = 0.025$ for $\rho_c = 0.050$ for $\rho_c = 0.100$
VTI, $\nu _0 = 0.4375$ 0.0011 0.0051 0.0210

For reference purposes, the computed values of $\zeta_m$ are also presented in TABLE 3.

FIG1
FIG1
Figure 1.
For randomly aligned vertical fractures and VTI symmetry: examples of anisotropic quasi-P compressional wave speed ($v_p$) for Poisson's ratio of the host medium $\nu _0 = 0.00$. Velocity curves in black are exact for the fracture model discussed in the text. The Thomsen weak anisotropy velocity curves for the same fracture model are then overlain in red. Finally, the new curves for the extended Thomsen approximation valid for stronger anisotropies are overlain in blue. If any of these curves is not visible, it is because one or possibly two other curves are covering them.
[pdf] [png]

FIG2
FIG2
Figure 2.
Same as Figure 1 for SH shear wave speed ($v_{sh}$).
[pdf] [png]

FIG3
FIG3
Figure 3.
Same as Figure 1 for quasi-SV shear wave speed ($v_{sv}$).
[pdf] [png]

FIG4
FIG4
Figure 4.
Same as Figure 1, for a different background medium having Poisson's ratio $\nu _0 = 0.4375$.
[pdf] [png]

FIG5
FIG5
Figure 5.
Same as Figure 2, but the value of $\nu _0 = 0.4375$.
[pdf] [png]

FIG6
FIG6
Figure 6.
Same as Figure 3, but the value of $\nu _0 = 0.4375$.
[pdf] [png]



Subsections
next up previous [pdf]

Next: VTI Symmetry Up: Berryman: Extended Thomsen formulas Previous: Extended Thomsen formulas

2007-09-15