next up previous [pdf]

Next: Dipping water-bottom Up: kinematics of 3D multiples Previous: kinematics of 3D multiples

Flat water-bottom

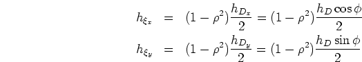
Figure 1 shows a sketch of a specular water-bottom multiple from a flat water-bottom. The inline direction is oriented in the $x$ direction and the crossline direction in the $y$ direction. Because both the surface and the water-bottom are flat, the multiple reflection happens entirely in the vertical plane directly below the source-receiver line as is intuitively obvious. Following the discussion in chapter 2, the inline and crossline subsurface offsets of the multiple ($h_{\xi_y}$ and $h_{\xi_y}$) are, respectively:

\begin{eqnarray*}
h_{\xi_x}&=&(1-\rho^2)\frac{h_{D_x}}{2}=(1-\rho^2)\frac{h_D\c...
...y}&=&(1-\rho^2)\frac{h_{D_y}}{2}=(1-\rho^2)\frac{h_D\sin\phi}{2}
\end{eqnarray*}

where $h_{D_x}$ and $h_{D_y}$ are the components of the surface offset vector in the inline and crossline directions, and $\phi$ is the azimuth of the source-receiver line with respect to the inline direction.

3d-mul-sktch1
Figure 1.
Raypath for a 3D Water-bottom multiple from a flat water-bottom. The multiple propagation is entirely contained in a vertical plane.
3d-mul-sktch1
[pdf] [png]

The travelpath of the multiple itself is azimuthally invariant and so the depth of the image point $z_\xi$ and its location are the same as in chapter 2 (equations [*] and [*]). The residual moveout equations of the multiple in the inline and crossline directions are given by slightly modified versions of equation [*]:

$\displaystyle z_{\xi_x}$ $\textstyle =$ $\displaystyle \frac{z_\xi(0)}{1+\rho}+\rho\sqrt{\left(\frac{z_\xi(0)}{1+\rho}\right)^2+\frac{h_{\xi_x}^2}{(1-\rho^2)\cos^2\phi}}$ (1)
$\displaystyle z_{\xi_y}$ $\textstyle =$ $\displaystyle \frac{z_\xi(0)}{1+\rho}+\rho\sqrt{\left(\frac{z_\xi(0)}{1+\rho}\right)^2+\frac{h_{\xi_y}^2}{(1-\rho^2)\sin^2\phi}}.$ (2)

Notice that the azimuthal invariance of the depth and spatial location of the image means that, in terms of the subsurface offset magnitude and reflection azimuth (which for a flat reflector equals the surface azimuth), the residual moveout of the multiple in the SODCIG is exactly the same as in the 2D case of chapter 2. Figure 2 shows the inline SODCIG (panel (a)) taken at zero crossline offset and the crossline SODCIG (panel (b)) taken at zero inline offset. The data was modeled directly in CMP gathers and therefore is completely regular in inline and crossline surface offsets. I modeled both positive and negative crossline surface offset and hence the residual moveout of the multiple spans both positive and negative subsurface offsets.

sodcig
sodcig
Figure 2.
SODCIG for a water-bottom multiple from a flat water-bottom. Panel (a) is the inline subsurface offset gather at zero crossline subsurface offset and panel (b) is the crossline subsurface offset gather at zero inline subsurface offset.
[pdf] [png]


next up previous [pdf]

Next: Dipping water-bottom Up: kinematics of 3D multiples Previous: kinematics of 3D multiples

2007-10-24