next up previous [pdf]

Next: Sparsity Constraint Up: Radon Transform Previous: Radon Transform

Apex-shifted Radon Transform

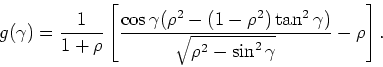
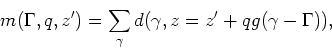
The apex of the residual moveout curve of the diffracted multiples in ADCIGs is shifted away from zero aperture angle. Therefore, to attenuate the diffracted multiples, I define the transformation from ADCIGs to model space (Radon-transformed domain) as:
\begin{displaymath}
m(\Gamma,q,z')=\sum_\gamma d(\gamma,z=z'+qg(\gamma-\Gamma)),
\end{displaymath} (28)

and from model space to data space as
\begin{displaymath}
d(\gamma,z)=\sum_q\sum_\Gamma m(\Gamma,q,z'=z-qg(\gamma-\Gamma)),
\end{displaymath} (29)

where $g(\gamma)$ is given by Equation 27 and $\Gamma$ is the lateral apex shift (in units of aperture angle). In this way, I transform the two-dimensional data space of ADCIGs, $d(\gamma,z)$, into a three-dimensional model space, $m(\Gamma,q,z')$.

In the ideal case of migration with the correct velocity, primaries would be perfectly horizontal in the ADCIGs and would thus map in the model space to the zero-curvature ($q=0$) plane, $i.e.$, a plane of dimensions depth and apex-shift distance $(\Gamma,z')$. Specular multiples would map to the zero apex-shift distance ($\Gamma =0$) plane, $i.e.$, a plane of dimensions depth and curvature $(q,z')$. Diffracted multiples would map elsewhere in the cube depending on their curvature and apex-shift distance.


next up previous [pdf]

Next: Sparsity Constraint Up: Radon Transform Previous: Radon Transform

2007-10-24