next up previous print clean
Next: Hazardous cross terms Up: Claerbout: Factorizing 2-D seismic Previous: SUBTRACT ANY TWO SHOT

2-D AUTOCORRELATION OF SURFACE SCATTERED RETURNS

Here we show theoretically that the 2-D autocorrelation (or 2-D spectrum) of surface scattered reflections is the same as that of the primary reflections. Thus by autocorrelation we will concentrate information that could be widely distributed in time and space. Later, we'll convert the autocorrelation to something more familiar.

Let the layered earth response from shot s to geophone g be u(s,g,t)=u(0,g-s,t)=u(g-s,t) or in Fourier space, $u(g-s,\omega)$ or simply u(g-s). When an upcoming wave hits the earth surface at g1 it encounters a scattering object which reflects the primary wave with a random scaling $\xi(g_1)$.The signal at g1 then takes off for a second flight like a multiple reflection, but departing in all directions. We are going to build the theoretical 2-D spectrum of this surface scattered wave w from the theoretical 2-D spectrum of u, the layered media primary reflection.

First we express the cascade of the two bounces. The arrival w at g2 at time t is the sum of the time of each bounce, $\tau$ and $t-\tau$.Since this is a convolution in the time domain, we express it as a product in the frequency domain. Then we form the complex conjugate of this expression in preparation for autocorrelation on the x-axis.
\begin{eqnarray}
w(s,g_2,t) &=& \sum_{g_1} \sum_\tau
 \ u(s, g_1, \tau)
 \ u(g_1...
 ...bar u(g_3-s, \omega)
 \ \bar u(g_2+x-g_3, \omega)
 \ \bar \xi(g_3)\end{eqnarray} (1)
(2)
(3)
We insert the last two expressions into the expression for spatial autocorrelation.
\begin{eqnarray}
A(s,x) &=& \sum_{g_2} \ w(s,g_2) \ \bar w(s,g_2+x)\end{eqnarray} (4)
We will determine A(s,x) experimentally as described earlier. Here we will see its theoretical relation to the primary reflected field u.

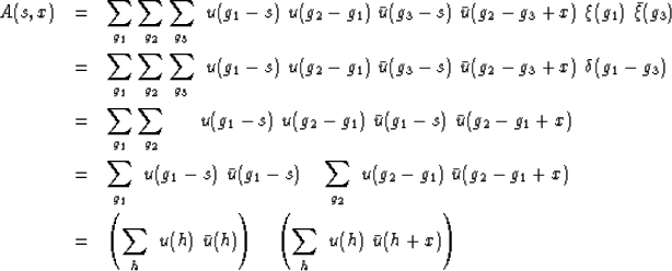
\begin{eqnarray}
A(s,x) &=& \sum_{g_1} \sum_{g_2} \sum_{g_3}
 \ u(g_1-s) \ u(g_2...
 ...r u(h) \right)
 \quad
\left( \sum_{h} \ u(h) \ \bar u(h+x) \right)\end{eqnarray} (5)
(6)
(7)
(8)
(9)

We Fourier transform over x. The first factor above is not a function of space. It is merely a function of $\omega$, say a filter $\vert f(\omega)\vert^2$.Thus our main result:
\begin{displaymath}
\vert w(s,\omega,k_x)\vert^2 \quad =\quad\vert f(\omega)\vert^2 \ \ \vert u(\omega,k_x)\vert^2\end{displaymath} (10)

We see that in principle, for each shot point s, we measure the spectrum of the impulse response of the layered medium.



 
next up previous print clean
Next: Hazardous cross terms Up: Claerbout: Factorizing 2-D seismic Previous: SUBTRACT ANY TWO SHOT
Stanford Exploration Project
4/27/2000