next up previous [pdf]

Next: Estimation of Q from Up: Theory and numerical tests Previous: Q migration

Q compensation

In order to compensate for the amplitude loss to estimate Q in the image domain, I need Q compensation, which can be written in the following matrix form:

\begin{displaymath}\begin{gathered}{\mathbf{d}} = {\mathbf{AFm}} \hfill \\ {\mat...
...}}^T {\mathbf{A}}^{ - 1} {\mathbf{d}}, \hfill \\ \end{gathered}\end{displaymath} (19)

where

$\displaystyle {\mathbf{A}}^{ - 1} = \frac{{{\mathbf{A}}^{\mathbf{T}} }} {{{\mathbf{A}}^{\mathbf{T}} {\mathbf{A}}}}.$ (20)

One thing to notice is that the compensated amplitude in equation 19 contains both attenuation and an evanescent wave. However, only the attenuation part needs to be compensated. Therefore I need to remove the evanescent wave from the amplitude compensation. For a single frequency, the attenuation operator is shown as follows:

$\displaystyle A = e^{ - \Delta z\operatorname{Im} (k_z )}.$ (21)

After removing the evanescent part from the amplitude compensation, the inverse attenuation operator is shown as follows:

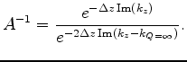
$\displaystyle A^{ - 1} = \frac{{e^{ - \Delta z\operatorname{Im} (k_z )} }} {{e^{ - 2\Delta z\operatorname{Im} (k_z - k_{Q = \infty } )} }}.$ (22)

Figure 3(d) shows Q compensation on the attenuated data, showing exactly the same result as Figure 3(a), which has no attenuation in either forward propagation or backward imaging. This result indicates that Q compensation adequately restores the amplitude loss caused by attenuation.

ctrl nqmig qncp qmig
ctrl,nqmig,qncp,qmig
Figure 3.
Given the 2D synthetic example, (a) conventional migration on non-attenuated data; (b) conventional migration on attenuated data; (c) Q migration on attenuated data; (d) Q compensation on attenuated data.
[pdf] [pdf] [pdf] [pdf] [png] [png] [png] [png]


next up previous [pdf]

Next: Estimation of Q from Up: Theory and numerical tests Previous: Q migration

2012-05-10