 |
 |
 |
 | Residual moveout-based wave-equation migration velocity analysis in 3-D |  |
![[pdf]](icons/pdf.png) |
Next: Gaussian anomaly example
Up: 3-D RMO WEMVA method
Previous: 2-D Theory Review
As we shift from 2-D seismic surveys to 3-D ones, two extra dimensions (cross-line axis
and subsurface azimuth
) are added to our seismic image. Therefore we denote the prestack image as
. Assuming there are
values for
, then
.
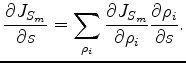
Now the maximum-stack-power objective function 1 can be generalized to
![$\displaystyle J(s) = \frac{1}{2} \sum_{x,y}\sum_{z} {\left[\sum_{\phi_i} \sum_{\gamma} \; I(z,\gamma,\phi_i,x,y;s) \right]}^2,$](img64.png) |
(11) |
in which we stack the gather along both
and
axes.
The next step is to choose a proper residual moveout parameterization for the 3-D ADCIGs, in which the moveout is a surface (defined by
) rather than a curve (of
). There are certainly more than one way to design such parameterization.
As an initial attempt, we choose a straightforward approach, in which we separate the moveout surface into individual curves by azimuth
. For each azimuth angle
, we assign the curvature parameter
and the static shift parameter
, respectively.
Notice that all the curves share the same
parameter, because the center of the move-out surface at (
) is shared by all curves.
Under this parameterization, the 3-D counterpart of objective function 3 would be
 |
(12) |
where
becomes a vector,
. The gradient formula 4 now turns into
 |
(13) |
Because each
is treated separately, we can compute
in exactly the same way as we do in the 2-D case.
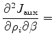
Analogously, we can define an auxiliary objective function for each image point that uncovers the
relationship:
 |
(14) |
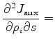
Using the same trick of finding partial derivatives for implicit functions, equation 6 is generalized as
 |
(15) |
We differentiate equation 15 with respect to
:
 |
(16) |
We can calculate the
by
Jacobian matrix elements and the right-hand side based on equation 14:
Denoting matrix
to be the inverse of the Jacobian, then
 |
(18) |
Finally, plugging equation 18 and 17 back into the model gradient expression 13, we get
 |
(19) |
in which
 |
(20) |
In practice, there are some caveats when taking the inverse of the Jacobian matrix. The Jacobian can be ill-conditioned when all elements in one row or column are close to zero.
For example, if the image point is not illuminated from a certain azimuth direction
, i.e.
, then the
row and column of the Jacobian would be zero.
In order to avoid numerical overflow under this circumstance, we pre-exclude those azimuth angles with poor illumination energy from the Jacobian, and we invert a subset of the original Jacobian that contains only image gathers at well-illuminated azimuth angles.
 |
 |
 |
 | Residual moveout-based wave-equation migration velocity analysis in 3-D |  |
![[pdf]](icons/pdf.png) |
Next: Gaussian anomaly example
Up: 3-D RMO WEMVA method
Previous: 2-D Theory Review
2012-05-10