 |
 |
 |
 | Early-arrival waveform inversion for near-surface velocity and anisotropic parameters: inversion of synthetic data |  |
![[pdf]](icons/pdf.png) |
Next: Examples
Up: Shen : VTI FWI
Previous: Introduction
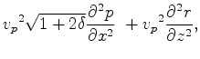
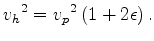
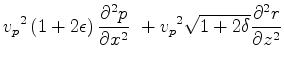
Exact anisotropic wave equations are in the form of elastic wave equations. Acoustic anisotropic wave equations can be obtained by various approximations of the exact elastic equations. One way to do this is to set shear wave velocity to zero in the exact elastic wave equations. Detailed derivation can be found in several papers (Duveneck et al., 2008; Zhang and Zhang, 2009; Crawley et al., 2010). The resulting acoustic anisotropic wave equations are a system of second-order equations:
where
and
are horizontal and vertical stress, respectively,
is vertical p-wave velocity, and
and
are anisotropic parameters (Thomsen, 1986).
The velocity parametrization defines the model space as follows:
The logarithmic slowness parametrization defines the model space as follows:
The non-linear conjugate gradient method is used for the inversion.
 |
 |
 |
 | Early-arrival waveform inversion for near-surface velocity and anisotropic parameters: inversion of synthetic data |  |
![[pdf]](icons/pdf.png) |
Next: Examples
Up: Shen : VTI FWI
Previous: Introduction
2012-05-10