|
|
|
|
Early-arrival waveform inversion for near-surface velocity and anisotropic parameters: modeling and sensitivity kernel analysis |
and
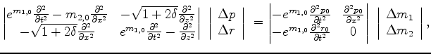
. Using this parametrization, equation 1 can be rewritten as follows:
|
|---|
|
relimpp
Figure 7. Relative sensitivity kernel of parameter: a)
; b)
. Both figures are clipped at the same value.
|
|
|
|
|
|
|
Early-arrival waveform inversion for near-surface velocity and anisotropic parameters: modeling and sensitivity kernel analysis |