next up previous [pdf]

Next: Conclusion and Perspectives Up: Maharramov: Reservoir depletion with Previous: Heterogeneous Models

Predicting Velocity and Density Changes from Deformation

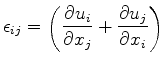
Keeping in sight our ultimate objective of using geomechanical observables to regularize seismic inversion, we now turn to the question of estimating change in velocity and density due to production-induced deformation. At this point we assume that we have inverted the pore pressure decline from known subsidence and can forward-model spatial displacements in the overburden due to the pore pressure change. Given a modelled displacement field $ u_{123}$ , we can compute the strain

$\displaystyle \epsilon_{ij}=\left(\frac{\partial u_i}{\partial x_j}+ \frac{\partial u_j}{\partial x_i}\right)$ (21)

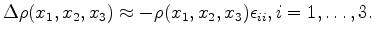
and compute density change as

$\displaystyle \Delta \rho(x_1,x_2,x_3)\approx -\rho(x_1,x_2,x_3)\epsilon_{ii},i=1,\ldots,3.$ (22)

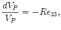
Given the estimated density change 22 and strain 21, we can proceed to estimating the induced change in seismic velocities in two different but potentially complementary ways. The first approach would be to use empirical velocity-density relations (Mavko et al., 2009),(Gardner et al., 1974). However, polynomial and power-law empirical forms of Gardner's relations may produce significant errors due to the presence of cracks or flaws in the rock. While useful as an average over many rock types, the applicability of such empirical relations to estimating minute changes in pressure and shear wave velocities at this point is moot. A more promising possibility is to use a linear empirical relation between the pressure-wave velocity and path-length change

$\displaystyle \frac{d V_P}{V_P}=-R \epsilon_{33},$ (23)

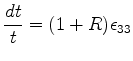
where $ V_P$ is the pressure wave velocity (for normal-incidence pressure waves). While the dimensionless coefficient $ R$ in equation 23 is generally unknown, and estimates of $ R$ from empirical relations for different rock type suffer from the same kind of uncertainties as the velocity-density relations, a reasonable estimate can be obtained from observable time-shifts using the relation

$\displaystyle \frac{dt}{t}=(1+R)\epsilon_{33}$ (24)

(Hatchell and Bourne, 2005). The time-shifts can be extracted from time-lapse seismic data using a cross-correlation technique similar to the one used by Hale (2009) and Ayeni (2011). We propose to use equation 24 to estimate the coefficient $ R$ where the time-shifts can be resolved, and then use the obtained value to estimate the velocity change (and time-shifts) from equations 23 and 24 where the time-lapse data has illumination gaps or is noisy.


next up previous [pdf]

Next: Conclusion and Perspectives Up: Maharramov: Reservoir depletion with Previous: Heterogeneous Models

2012-05-10