|
|
|
|
Edge-preserving smoothing for segmentation of seismic images |
|
|---|
|
syn-noise
Figure 2. A simple 2.5-D synthetic consisting of two planar reflectors and contaminated with random noise. The high level of noise makes it difficult to distinguish the two reflectors at the indicated location. |
|
|
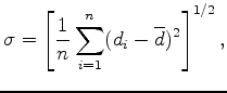
A very similar approach has already been proposed for use on three-dimensional seismic images. AlBinHassan et al. (2006) constructed many 3D neighborhoods around a central pixel, and used the average value of the most homogeneous block. For this method and that of Zahedi and Thomas (1993), maximum homogeneity is determined by calculating the variance of the individual bar masks or 3D blocks:
![]() |
(1) |
is the number of pixels in the bar mask or block
, and
is the average value of those pixels. The mask or block with the smallest variance has the greatest homogeneity.
The method presented here differs from this approach by incorporating two ideas from Zahedi and Thomas (1993). First, nine 1D bar masks, extending from a central pixel along each axis and diagonal of a cube enclosing the pixel, are used instead of the 3D blocks. This greatly simplifies the computational complexity of the algorithm, while at the same time preserving sharp boundaries with arbitrary orientations. Second, the median value of the bar mask with maximum homogeneity is used, rather than the average value. Again, this enhances the edge-preserving characteristics of the filter.
|
|
|
|
Edge-preserving smoothing for segmentation of seismic images |