next up previous [pdf]

Next: Local convergence analysis Up: Biondi: Two-parameters RMO Previous: Two-parameter RMO functions

Convergence analysis

In the previous section I showed that we can obtain flatter migrated CIGs by applying a two-parameter RMO correction instead of a conventional one-parameter correction. These results would be sufficient to motivate the use of a two-parameter RMO if the goal were to improve the signal-to-noise in the stacked cube, or to perform velocity analysis by picking the stack-power maxima. However, I am interested in using the new RMO functions in an MVA method that avoids picking the maxima of coherency spectra; this method computes the gradients of the objective function from the gradient of the stack-power spectra with respective to the RMO parameters (Biondi, 2010,2008; Zhang and Biondi, 2011). It is therefore important to analyze the quality of the gradient information computed from two-parameter spectra, and compare to the corresponding gradient information computed from one-parameter spectra.

As a quality measurements of the gradient information, I compute the correlation across the angle axis between the RMO function that would be computed by picking the maxima of the coherency spectra $ _p{\Delta z}$ and the RMO function $ _g{\Delta z}$ computed using the gradient.

For the ``Taylor'' RMO the reference RMO function $ _p{\Delta z}_T$ is computed as follows:

$\displaystyle _p{\Delta z}_T\left(\gamma,\rho,\lambda_T\right) = \left(\rho-\wi...
...right) \tan^2 \gamma +\left(\lambda_T-\widehat{\lambda_T}\right) \tan^4 \gamma.$ (4)

where $ \left(\widehat{\rho},\widehat{\lambda_T}\right)$ are the coordinates of the power-spectrum maximum. The RMO function $ _g{\Delta z}_T$ computed from the gradient of the power spectrum $ P_T$ is,

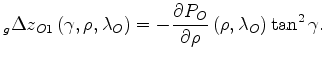
$\displaystyle _g{\Delta z}_T\left(\gamma,\rho,\lambda_T\right) = -\frac{\partia...
...ac{\partial P_T}{\partial \lambda_T} \left(\rho,\lambda_T\right) \tan^4 \gamma,$ (5)

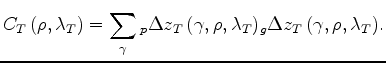
and the correlation is computed as

$\displaystyle C_T\left(\rho,\lambda_T\right) = \sum_{\gamma} {_p{\Delta z}_T\le...
...amma,\rho,\lambda_T\right)} {_g{\Delta z}_T\left(\gamma,\rho,\lambda_T\right)}.$ (6)

I compare this correlation function over a range of $ \left(\rho,\lambda_T\right)$ with the correlation function computed by

$\displaystyle C_{T1}\left(\rho,\lambda_T\right) = \sum_{\gamma} {_p{\Delta z}_T...
...a,\rho,\lambda_T\right)} {_g{\Delta z}_{T1}\left(\gamma,\rho,\lambda_T\right)},$ (7)

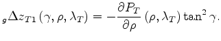
where the one-parameter RMO $ _g{\Delta z}_{T1}$ is computed as follows

$\displaystyle _g{\Delta z}_{T1}\left(\gamma,\rho,\lambda_T\right) = -\frac{\partial P_T}{\partial \rho} \left(\rho,\lambda_T\right) \tan^2 \gamma.$ (8)

Figure 5 compares the correlation functions $ C_{T}$ (panel a) and $ C_{T1}$ (panel b) for the first CIG analyzed (Figure 1a). The asterisk superimposed onto the plots of the correlation functions is located at the maximum of the power spectrum displayed in Figure 2a. The coordinates $ \left(\widehat{\rho},\widehat{\lambda_T}\right)$ of this maximum are used to evaluate the moveout $ _p{\Delta z}_T$ according to equation 4. Accurate gradient directions correspond to positive correlation (plotted in white in the figure), whereas potentially misleading gradient directions correspond to negative correlation (plotted in black in the figure).

The correlation functions are mostly positive over a wide range of parameters $ \left(\rho,\lambda_T\right)$ , indicating that a velocity estimation method based on these RMO functions is likely to have good global convergence properties. In particular, the positive correlation functions at $ \left(\rho=1,\lambda_T=1\right)$ indicates that the gradient computed starting from the migrated CIG shown in Figure 2a would be accurate, even if this CIG is far from being flat.

The correlation functions shown in Figure 5 are very similar. Therefore, the global convergence of the velocity estimation would be robust independently of whether the one-parameter or the two-parameter RMO function is used.

CorrShift-TP
CorrShift-TP
Figure 5.
Correlation functions corresponding to the CIG shown in Figure 1a for: a) the ``Taylor'' two-parameter RMO function (equation 6), and b) the one-parameter RMO function (equation 7).
[pdf] [png]

CorrShift-OP
CorrShift-OP
Figure 6.
Correlation functions corresponding to the CIG shown in Figure 1a for: a) the ``Orthogonal'' two-parameter RMO function (equation 11), and b) the one-parameter RMO function (equation 12).
[pdf] [png]

Similar correlation analysis of the RMO function can be performed when applying the ``Orthogonal'' RMO instead of the ``Taylor'' RMO. In this case the reference RMO function $ _p{\Delta z}_O$ is computed as follows:

$\displaystyle _p{\Delta z}_O\left(\gamma,\rho,\lambda_O\right) = \left(\rho-\wi...
...\gamma +\left(\lambda_O-\widehat{\lambda_O}\right) \vert\sin \bar{\gamma}\vert.$ (9)

where $ \left(\widehat{\rho},\widehat{\lambda_O}\right)$ are the coordinates of the corresponding power-spectrum maximum. The RMO function $ _g{\Delta z}_O$ computed from the gradient of the power spectrum $ P_O$ is,

$\displaystyle _g{\Delta z}_O\left(\gamma,\rho,\lambda_O\right) = -\frac{\partia...
...O}{\partial \lambda_T} \left(\rho,\lambda_O\right) \vert\sin \bar{\gamma}\vert,$ (10)

and the correlation is computed as

$\displaystyle C_O\left(\rho,\lambda_O\right) = \sum_{\gamma} {_p{\Delta z}_O\le...
...amma,\rho,\lambda_O\right)} {_g{\Delta z}_O\left(\gamma,\rho,\lambda_O\right)}.$ (11)

This correlation is compared with the correlation

$\displaystyle C_{O1}\left(\rho,\lambda_O\right) = \sum_{\gamma} {_p{\Delta z}_O...
...a,\rho,\lambda_O\right)} {_g{\Delta z}_{O1}\left(\gamma,\rho,\lambda_O\right)},$ (12)

where the one-parameter RMO $ _g{\Delta z}_{O1}$ is computed as follows

$\displaystyle _g{\Delta z}_{O1}\left(\gamma,\rho,\lambda_O\right) = -\frac{\partial P_O}{\partial \rho} \left(\rho,\lambda_O\right) \tan^2 \gamma.$ (13)

Figure 6 compares the correlation functions $ C_{O}$ (panel a) and $ C_{O1}$ (panel b) for the first CIG analyzed (Figure 1a). The asterisk superimposed onto the plots of the correlation functions is located at the maximum of the power spectrum displayed in Figure 2b. The coordinates $ \left(\widehat{\rho},\widehat{\lambda_O}\right)$ of this maximum are used to evaluate the moveout $ _p{\Delta z}_O$ according to equation 9. As for the previous figure, accurate gradient directions correspond to positive correlation (plotted in white in the figure), whereas potentially misleading gradient directions correspond to negative correlation (plotted in black in the figure).

In this case the correlation functions shown in Figure 6 are not as similar as in the previous case. In particular, the black area around the value $ \left(\rho=1,\lambda_O=1\right)$ in Figure 6a indicate that the two-parameter RMO analysis would provide unreliable gradients. This problem is related to the diagonal artifacts visible in the power spectrum shown in in Figure 2a. These artifacts are caused by the fact that the second term in the ``Orthogonal'' RMO function has an extremum in the middle of the angular range, in contrast with the other RMO functions that have an extremum at normal-incidence. This mid-range extremum causes spurious local maxima of the spectrum at depths different than the normal incidence depth of the imaged reflector. These artifacts are much weaker when I averaged the power spectrum over a thinner depth interval (30 m) than the one used for computing the function displayed in Figure 6a. The new averaging window is of thickness comparable to the image of the reflector. Figure 7a shows the power spectrum obtained with this thinner averaging window, and Figure 7b corresponds to the two-parameters correlation function, which is a substantial improvement with respect to the one shown in Figure 6a.

CorrShift-OP-narrow
CorrShift-OP-narrow
Figure 7.
Panel a): Two-parameter stack-power spectra resulting from RMO analysis of the CIG shown in Figure 1a obtained using a thinner averaging window (30 m) than the one used to compute the spectrum shown in Figure 2b. Panel b): Correlation function for the ``Orthogonal'' two-parameter RMO function obtained using the thinner averaging window.
[pdf] [png]

Figure 8 and Figure 9 shows the analysis of the correlation functions for the second CIG analyzed (Figure 3a); that is, the CIG suffering from the effects of anisotropy. Figure 8 corresponds to the "Taylor" RMO function, whereas Figure 9 corresponds to the "Orthogonal" RMO function. For this CIG, the two-parameter RMO analysis seems to improve the global convergence of the method, in particular when the ``Orthogonal'' function is applied (Figure 9).

CorrShift-TP-aniso
CorrShift-TP-aniso
Figure 8.
Correlation functions corresponding to the CIG shown in Figure 3a for: a) the ``Taylor'' two-parameter RMO function (equation 6), and b) the one-parameter RMO function (equation 7).
[pdf] [png]

CorrShift-OP-aniso
CorrShift-OP-aniso
Figure 9.
Correlation functions corresponding to the CIG shown in Figure 3a for: a) the ``Orthogonal'' two-parameter RMO function (equation 11), and b) the one-parameter RMO function (equation 12).
[pdf] [png]



Subsections
next up previous [pdf]

Next: Local convergence analysis Up: Biondi: Two-parameters RMO Previous: Two-parameter RMO functions

2011-09-13